Resultados das áreas de gestão
Sumário
Gestão orçamentária e financeira
Gestão de licitações e contratos
Gestão patrimonial e infraestrutura
Gestão do patrimônio imobiliário da União
Gestão do patrimônio mobiliário
Gestão da tecnologia da informação
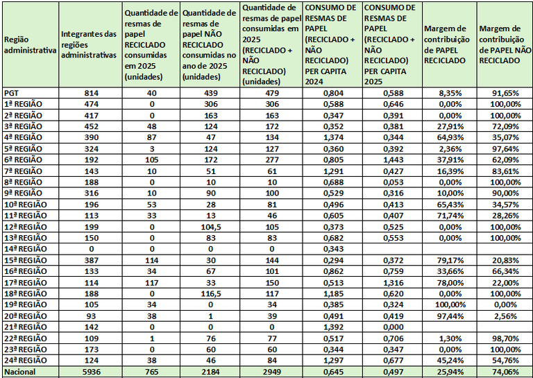
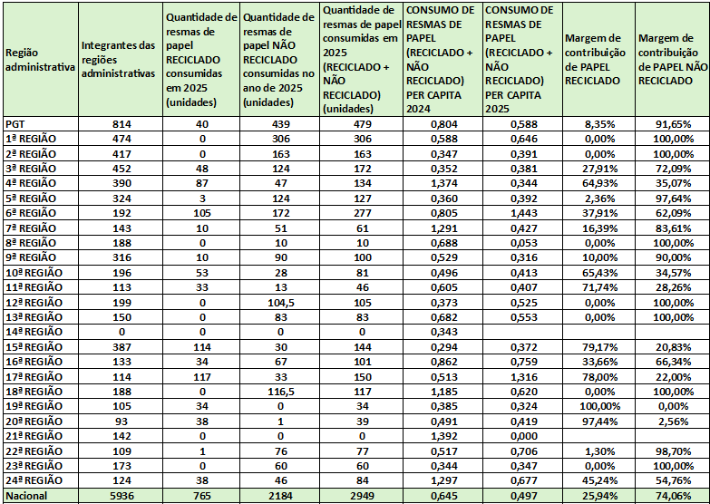
Sustentabilidade Socioambiental
Gestão orçamentária e financeira
A Lei Orçamentária Anual (LOA) de 2025, Lei nº 15.121, de 10 de abril de 2025, aprovou dotação inicial do Ministério Público do Trabalho - MPT no valor de R$ 2.508.967.103. Por meio de alterações posteriores, houve majoração global de R$ 3.333.907 decorrentes do rateio dos custos do Sistema Cosmos – MPU.
|
DESPESA |
2024 |
2025 |
Variação % |
|
Financeira |
219.472.966 |
209.515.934 |
-5% |
|
Pessoal |
219.472.966 |
209.515.934 |
-5% |
|
Obrigatória |
1.947.760.647 |
2.096.046.965 |
8% |
|
Pessoal |
1.769.810.620 |
1.893.720.762 |
7% |
|
Custeio |
177.950.027 |
202.326.203 |
14% |
|
Discricionária |
214.484.531 |
206.738.111 |
-4% |
|
Custeio |
208.076.918 |
203.551.170 |
-2% |
|
Investimentos |
6.407.613 |
3.186.941 |
-50% |
|
TOTAL GERAL |
2.381.718.144 |
2.512.301.010 |
5% |
Dados referentes ao orçamento do Ministério Público do Trabalho – MPT - 2024/2025
Histórico da Execução Orçamentária do MPT
O MPT encerrou o exercício de 2025 com desempenho histórico na execução orçamentária e financeira, reafirmando o compromisso institucional com a boa governança, o planejamento eficiente e a atuação integrada entre as unidades.
No âmbito da execução orçamentária, o MPT alcançou 100% de empenho da dotação autorizada. Mesmo sendo um ano desafiador com restrição orçamentária, foi possível atender integralmente todas as demandas das unidades regionais que necessitaram de suplementação para a manutenção básica de suas atividades.
No que tange à execução financeira, o resultado foi igualmente expressivo. Em um trabalho articulado entre as 24 Procuradorias Regionais do Trabalho e a Procuradoria-Geral do Trabalho (PGT), o MPT otimizou o montante a ser inscrito em Restos a Pagar e alcançou 100% de utilização do limite financeiro.
|
Ano |
Saldo Orçamentário |
Saldo Financeiro |
|
2019 |
19.255.847 |
10.515.739 |
|
2020 |
10.115.876 |
12.576.178 |
|
2021 |
2.445.923 |
17.532.056 |
|
2022 |
9.886.594 |
8.125.460 |
|
2023 |
5.328.547 |
4.816.295 |
|
2024 |
398 |
327.090 |
|
2025 |
92 |
29.402 |
|
Despesas financeiras |
||||
|
|
2024 |
2025 |
||
|
1 - Pessoal |
Empenhadas |
Pagas |
Empenhadas |
Pagas |
|
13 – Obrigações Patronais RPPS Patronais |
187.796.134 |
187.796.134 |
196.737.305 |
196.737.305 |
|
Primárias obrigatórias |
||||
|
1 - Pessoal |
Empenhadas |
Pagas |
Empenhadas |
Pagas |
|
11 – Vencimentos e Vantagens |
1.395.222.730 |
1.395.222.730 |
1.496.908.563 |
1.496.908.563 |
|
01 – Aposentadoria RPPS |
230.513.788 |
230.513.788 |
245.985.357 |
245.985.357 |
|
03 – Pensões RPPS |
58.505.780 |
58.505.780 |
61.665.837 |
61.665.837 |
|
Outros |
85.568.322 |
84.146.376 |
89.161.003 |
88.755.477 |
|
3 - Custeio |
Empenhadas |
Pagas |
Empenhadas |
Pagas |
|
46 – Auxílio Alimentação |
75.518.308 |
75.518.308 |
93.040.420 |
93.040.177 |
|
39 – Serviços de Terceiros – PJ |
43.614.684 |
43.607.246 |
45.490.424 |
45.490.424 |
|
08 – Out.Benf.Assist. Serv. Mil. |
54.821.967 |
54.821.967 |
63.563.177 |
63.563.177 |
|
Outros |
3.973.460 |
3.973.460 |
232.091 |
232.091 |
|
Primárias discricionárias |
||||
|
3 - Custeio |
Empenhadas |
Pagas |
Empenhadas |
Pagas |
|
39 – Serviços de Terceiros – PJ |
69.789.669 |
65.830.934 |
65.890.997 |
63.728.762 |
|
37 – Locação de Mão-de-Obra |
64.220.820 |
63.052.596 |
68.744.479 |
68.128.742 |
|
93 – Indenizações e Restituições |
4.114.493 |
4.041.481 |
3.387.685 |
3.365.527 |
|
40 – Serviços de TI e Comunicação |
34.561.703 |
31.028.523 |
32.814.263 |
29.699.823 |
|
14 – Diárias Pessoal Civil |
8.241.516 |
8.241.516 |
8.523.733 |
8.523.733 |
|
Outros |
25.234.911 |
24.421.497 |
21.175.129 |
20.394.155 |
|
4 - Investimentos |
Empenhadas |
Pagas |
Empenhadas |
Pagas |
|
52 – Equipamentos |
5.422.479 |
4.862.963 |
2.261.900 |
884.974 |
|
51 – Obras e Instalações |
736.993 |
8.995 |
107.098 |
57.720 |
|
40 - Serviços de TI |
132.173 |
75.665 |
817.943 |
365.639 |
|
Outros |
115.968 |
115.934 |
- |
- |
|
Fonte: Tesouro gerencial – despesas empenhadas x despesas pagas |
||||
Despesas primárias obrigatórias
|
Despesas obrigatórias |
||
|
Plano interno |
2024 |
2025 |
|
Pessoal Ativo |
1.470.506.642 |
1.578.756.120 |
|
Pessoal Inativo |
293.132.056 |
307.361.726 |
|
Benefícios |
96.370.221 |
114.869.910 |
|
Plan-Assiste |
87.751.724 |
95.059.120 |
|
Total |
1.947.760.643 |
2.096.046.876 |
|
Fonte: Tesouro gerencial – Despesas empenhadas |
||
As despesas primárias obrigatórias em 2025 totalizaram R$ 2.096.046.876. Em relação a 2024, houve incremento no montante de R$ 148.286.233 principalmente devido ao reajuste na remuneração e benefícios de Membros e servidores.
Os gastos Primários Obrigatórios correspondem às despesas com pessoal ativo e inativo, benefícios (Auxílio-Alimentação, Pré-Escolar e outros) e com o Plan-Assiste - Programa de Saúde e Assistência Social do MPT. Conforme exposto no quadro, observa-se aumento das despesas obrigatórias, em relação a 2024, na ordem de aproximadamente 7,61%.
Despesas primárias discricionárias
|
Despesas correntes (discricionárias) |
||
|
Plano Interno |
2024 |
2025 |
|
Auxílio -Moradia |
1.577.438 |
2.205.583 |
|
Capacitação RRServidores |
925.077 |
589.398 |
|
Comunicação Institucional |
2.048.769 |
1.750.384 |
|
Diárias e Passagens |
9.453.992 |
9.279.348 |
|
Estagiários |
9.009.515 |
8.942.649 |
|
Informática |
37.808.413 |
35.787.070 |
|
Manutenção Básica |
132.370.218 |
137.460.934 |
|
Reformas de Sedes |
1.650.606,38 |
120.785 |
|
Outras |
9.181.168 |
7.384.683 |
|
Total |
207.019.261 |
203.520.835 |
|
Fonte: Tesouro gerencial – Despesas Empenhadas |
||
Os gastos correntes do MPT representaram 98,4% do total de despesas discricionárias empenhadas pela Unidade Orçamentária. O montante gasto com despesas correntes serviu para o custeio das atividades do Ministério Público do Trabalho que inclui a Procuradoria-Geral do Trabalho (PGT), 24 Procuradorias Regionais do Trabalho e suas Procuradorias do Trabalho nos Municípios.
As despesas administrativas deram suporte operacional à consecução de atividades finalísticas, garantindo o funcionamento das unidades do MPT em todo o Brasil. Os decréscimos nas Despesas Correntes Discricionárias, decorreram de novas políticas de gestão orçamentária e financeira do MPT, sendo essa economia de despesas destinada à atividade finalística da instituição.
|
Despesas de Capital (Discricionárias) |
||
|
Plano Interno |
2024 |
2025 |
|
Construções de Sedes |
660.000 |
- |
|
Informática |
3.365.434 |
1.488.850 |
|
Manutenção Básica |
2.382.179 |
1.698.091 |
|
Total |
6.407.613 |
3.186.941 |
|
Fonte: Tesouro gerencial – Despesas Empenhadas |
||
Também houve redução nas despesas de capital gerando economia de despesas que foram aplicadas na atividade fim do MPT.
Análise financeira e de restos a pagar
|
Eficiência na execução financeira |
|||
|
Resultado Lei Primário |
GND |
2024 |
2025 |
|
Financeiro |
Pessoal |
100% |
100% |
|
Primária - Obrigatória |
Pessoal |
99,92% |
99,98% |
|
Custeio |
100% |
100% |
|
|
Primária - Discricionária |
Custeio |
95,34% |
95,73% |
|
Investimentos |
79,02% |
41,05% |
|
|
Fonte: Tesouro Gerencial – Razão pago e empenhado |
|||
Conforme análise da evolução das despesas do MPT, a principal medida do Órgão, frente aos limites impostos pelo Novo Regime Fiscal, foi reduzir o montante de “dívida” gerada, ou seja, o montante de restos a pagar. Isso resultou em um aumento da eficiência na execução do orçamento, que é calculada pela razão entre o total pago e o total empenhado.
Total de pagamentos do orçamento de 2024
|
ANO |
Despesas pagas (Ano) |
RP Pagos (Anos Anteriores) |
|
2015 |
207.653.303 |
113.957.740 |
|
2016 |
230.674.604 |
157.410.533 |
|
2017 |
256.102.893 |
49.058.635 |
|
2018 |
269.202.323 |
36.343.409 |
|
2019 |
148.598.273 |
14.377.048 |
|
2020 |
219.880.011 |
4.715.118 |
|
2021 |
228.816.952 |
6.345.270 |
|
2022 |
219.770.190 |
17.873.676 |
|
2023 |
240.458.893 |
13.381.782 |
|
2024 |
203.449.258 |
10.434.568 |
|
2025 |
196.132.784 |
9.552.877 |
Não obstante, conforme observa-se na tabela, do total de pagamentos do orçamento do ano de 2025, 95,14% dos pagamentos totais referem-se às despesas discricionárias do presente exercício. Isso indica que os dispêndios financeiros no ano representam, cada vez mais, as despesas daquele exercício financeiro e não pagamento de compromissos de anos anteriores assinalando uma gestão orçamentária e financeira mais sustentável.
Execução por natureza de gasto da manutenção básica e necessidades adicionais do MPT em 2025
Dentre as despesas de Manutenção Básica, destacam-se a locação de imóveis e condomínios e serviços de terceiros necessários à continuidade das atividades de todo o MPT.
Em relação às Necessidades Adicionais, destacam-se os gastos equipamentos e material permanente.
Receitas Próprias
As informações sobre as receitas próprias no exercício de 2025 foram as arrecadadas pelo Ministério Público do Trabalho com Alienação de Bens Móveis e Multas e Juros Previstos em Contratos no valor de R$ 72.477.
|
UG EXECUTORA |
2024 |
2025 |
|
Diretoria de Administração |
|
|
|
Alienação de Bens Móveis |
- |
69.276 |
|
Multas e Juros Previstos em Contratos |
- |
3.201 |
|
Concursos e Processos Seletivos |
654.500 |
- |
|
TOTAL |
654.500 |
72.477 |
Dados referentes ao orçamento do Ministério Público do Trabalho – MPT 2024/2025
Perspectivas, dificuldades e desafios na execução do orçamento
Um dos desafios a serem superados pelo MPT consiste em desenvolver conduta consciente na execução dos créditos orçamentários, prezando pela economicidade, buscando atingir tudo aquilo que foi planejado e, que tenha sido o suficiente para a consecução das atividades a serem desenvolvidas pelo Órgão.
|
Dificuldades da gestão orçamentária |
|
|
Desafios da gestão orçamentária |
|
|
Ações futuras na gestão orçamentária |
|
Gestão de contratos
Gastos por modalidade de licitação
Na análise da gestão dos contratos optou-se por analisar os gastos das despesas primárias discricionárias empenhadas. Tal fato justifica-se, pois, o processo licitatório não se aplica à maioria das despesas primárias obrigatórias.
|
|
Empenhado |
|
Pregão |
114,78 Mi |
|
Dispensa de Licitação |
43,00 Mi |
|
Não se aplica |
25,98 Mi |
|
Inexigibilidade |
22,32 Mi |
|
Outros |
0,63 Mi |
O pregão é o principal meio de contratação das despesas discricionárias do MPT. Essa modalidade é destinada à aquisição de bens e de serviços comuns para Administração Pública, correspondendo a R$ 114.780 milhões empenhados, em sua maioria, destinados à manutenção básica, aquisição de bens e serviços de Informática e passagens aéreas.
Por sua vez, R$ 43 milhões das despesas discricionárias do MPT foram realizadas por meio de dispensa de licitação. A maioria ocorreu devido ao pagamento de aluguel dos edifícios-sede do MPT e serviços de manutenção básica com obra e/ ou serviços e fornecimento de energia elétrica.
Gestão de licitações e contratos
A gestão de licitações e contratos é realizada pelo Departamento de Licitações e Contratos, composto pelas Seções de Gestão de Contratos, Licitações e Dispensas Eletrônicas, Suporte a Compras e Apuração de Reponsabilidade. De forma resumida, ingressa neste departamento os processos com os termos de referência, sendo entregue, como produto, bens e serviços necessários à satisfação do interesse público. Ao Departamento de Licitações e Contratos compete, de acordo art. 133 da Portaria nº 1.162 de 2025 – Novo Regimento Interno Administrativo do MPT, as seguintes atribuições:
-
planejar, organizar, gerenciar e monitorar as licitações e contratações da Procuradoria-Geral do Trabalho;
-
coordenar a elaboração dos contratos, aditivos e instrumentos congêneres;
-
orientar, quando necessário, o agente da contratação e/ou a comissão de contratação, na condução dos certames e demais procedimentos auxiliares;
-
coordenar a gestão dos contratos mantidos pela Procuradoria-Geral do Trabalho, bem como o processamento das respectivas solicitações de alteração;
-
adotar as providências necessárias às aquisições e às contratações, bem como zelar por sua adequação às necessidades institucionais;
-
coordenar a tramitação dos pedidos de aquisição ou contratação provenientes de atas de registro de preços;
-
manter atualizados os normativos internos, manuais e modelos sobre as matérias correlatas ao departamento;
-
gerir, acompanhar e monitorar as contas vinculadas;
-
elaborar pareceres, notas técnicas, informativos, portarias e atos congêneres correlatos ao departamento; e
-
desenvolver outras atividades inerentes à sua finalidade quando determinadas pela chefia superior.
Conformidade legal
O Departamento de Licitações e Contratos da Procuradoria-Geral do Trabalho observa os normativos que regem as aquisições de bens e serviços no âmbito da Administração Pública, especialmente o regramento previsto na Lei nº 14.133/21, sem prejuízo de cumprimento dos demais atos normativos, conforme adiante mencionado.
Seguem abaixo, de forma não exaustiva, os principais normativos que regem as aquisições de bens e serviços no âmbito da Procuradoria-Geral do Trabalho:
-
Determinações e orientações do Controle Interno, Controle Externo e do Conselho Nacional do Ministério Público e Conselho Superior do Ministério Público do Trabalho;
-
Portaria PGR/MPT n°1162.2025 - Novo Regimento Interno Administrativo do MPT; (disponível no Boletim de Serviço 147/2025)
-
Portaria PGT/MPT nº 1147, de 05 de agosto de 2025 (disponível no Boletim de Serviço 145/2025)
Detalhamento dos gastos das contratações por finalidade e especificação dos tipos de serviços contratados para o funcionamento administrativo
No exercício de 2025, foram deflagradas 18 licitações na modalidade Pregão Eletrônico (aquisição de bens e serviços comuns), das quais:
-
16 licitações foram homologadas/finalizadas;
-
uma licitação foi fracassada;
-
uma licitação iniciada em 2025 e que será reaberta no exercício seguinte.
-
Além dos pregões eletrônicos, foram realizadas 14 dispensas eletrônicas, das quais uma restou fracassada. Segue abaixo resumo das licitações/dispensas realizadas em 2025, levando-se em consideração, na primeira tabela, os valores envolvidos, e na segunda, a quantidade de procedimentos realizados, a saber:
|
Categoria de procedimento |
Total estimado |
Total arrematado |
|
Valor total de todos os procedimentos concluídos em 2025 |
R$ 42.848.133,21 |
R$ 39.302.223,44 |
|
Procedimentos fracassados, desertos, revogados ou cancelados |
R$ 100.383,23 |
R$ 0,00 |
|
Procedimentos publicados em 2025, mas não concluídos |
R$ 663.400,00 |
R$ 0,00 |
|
Procedimentos abertos em 2024 e concluídos em 2025 |
R$ 11.200,00 |
R$ 0,00 |
|
Pregões concluídos em 2025 |
R$ 42.621.700,41 |
R$ 39.134.692,27 |
|
Dispensas Eletrônicas Concluídas em 2025 |
R$ 226.432,80 |
R$ 167.531,17 |
|
Procedimentos licitatórios/dispensas eletrônicas 2025 |
||||
|
|
Concluídos |
Fracassados ou cancelados |
Desertos |
Em andamento |
|
Pregão Lei nº 14.133/2021 |
14 |
0 |
0 |
0 |
|
Pregão SRP Lei nº 14.133/2021 |
4 |
1 |
0 |
1 |
|
Dispensas Eletrônicas |
14 |
1 |
0 |
0 |
|
Total |
32 |
2 |
0 |
1 |
Outrossim, a PGT mantém esforços junto às Procuradorias Regionais do Trabalho para realizar licitações de forma centralizada, sempre que possível, a exemplo de aquisição de mobiliário, prestação de serviços de emissão de passagens aéreas, gestão de frotas e aquisição de uniformes. A PGT também foi a unidade gestora responsável pela contratação de serviços de eventos, registrando preços para os demais ramos do MPU, que atuaram como participantes.
Contratações mais relevantes e sua associação aos objetivos estratégicos e justificativas para essas contratações
As contratações indispensáveis para o funcionamento do MPT são aquelas voltadas para o segmento de Tecnologia da Informação, seja na área de infraestrutura, comunicação de dados, voz e imagem, segurança da informação, equipamentos e até mesmo os softwares de trabalho, a exemplo do pacote Microsoft Office, que inclui Word, Excel e Plataforma Teams, essenciais para o bom desenvolvimento do trabalho.
Dessa forma, para sistematizar o relatório de desempenho do exercício de 2025, foram relacionadas algumas das contratações realizadas durante o ano, bem como as manutenções, todas indispensáveis ao funcionamento do MPT, conforme abaixo:
|
Número do contrato |
Objeto |
Valor total (R$) |
|
41/2015 |
Locação do edifício sede da PGT localizado no Setor de Autarquias Norte. |
21.292.319,64 (desconto pontualidade 20%) 17.033.855,76 |
|
06/2021
|
Telefonia móvel – Claro S.A. |
28.370.944,80 |
|
46/2021 |
Fornecimento de equipamentos e serviço de telefonia fixa comutada IP, com estrutura de comunicações unificadas e PABX em nuvem. |
12.080.953,80 |
|
74/2023 |
Prestação de serviços técnicos de hospedagem externa de equipamentos de TI, do tipo co-location, em ambiente de datacenter, com fornecimento de serviços de segurança e comunicação de dados em substituição ao Contrato nº 78/2018. |
24.753.564,00 |
|
04/2024 |
Contratação de empresa responsável pela distribuição da publicidade legal impressa e/ou eletrônica de interesse institucional |
120.768,00 |
|
07/2024 |
Contratação de empresa especializada na prestação de serviços para fornecimento de solução integrada de rede corporativa com segurança, e serviço de comunicação de dados dedicado para o Ministério Público do Trabalho – OI S.A. – Itens 1 a 19. |
21.710.491,70 |
|
08/2024 |
Contratação de empresa especializada na prestação de serviços para fornecimento de solução integrada de rede corporativa com segurança, e serviço de comunicação de dados dedicado para o Ministério Público do Trabalho – Claro S.A. – Itens 20 a 35. |
11.980.716,60 |
|
11/2024 |
Contratação de empresa especializada no fornecimento de estações de trabalho e monitores com entrega e suporte técnico on-site descentralizados, para atender às necessidades desta Procuradoria-Geral do Trabalho – Dell – usuário especializado. |
332.400,00 |
|
14/2024 |
Contratação de empresa especializada no fornecimento de estações de trabalho e monitores com entrega e suporte técnico on-site descentralizados, para atender às necessidades desta Procuradoria-Geral do Trabalho e demais órgãos participantes – usuário avançado. |
539.865,00 |
|
21/2024 |
Contratação de empresa especializada no fornecimento de estações de trabalho e monitores com entrega e suporte técnico on-site descentralizados, para atender às necessidades desta Procuradoria-Geral do Trabalho – usuário especializado. |
1.918.560,00 |
|
18/2024 |
Contratação de empresa especializada para prestação de serviços de gestão de frota para fornecimento de combustíveis e manutenção preventiva e corretiva de veículos, incluindo o fornecimento de peças, acessórios, equipamentos, lavagem e transporte por guincho, junto a rede especializada de serviços (própria ou credenciada), em todo o território nacional, por meio da implantação e operação de sistema informatizado e integrado, via internet e tecnologia de pagamento por meio eletrônico, para atender às necessidades da Procuradoria-Geral do Trabalho. |
372.170,67 |
|
24/2024 |
Contratação de empresa especializada em subscrições de Software As A Service (SaaS) da suíte de ferramentas AutoDESK Architecture, Engineering & Construction Collection. |
1.625.184,00 |
|
29/2024 |
Contratação de empresa especializada para a prestação de serviço tecnicamente qualificado de Sustentação (que engloba Suporte Técnico, Manutenção Corretiva, Preventiva, Legal, Adaptativa), Manutenção Evolutiva e Treinamento para o Sistema de Gestão de Pessoas Mentorh. |
|
|
30/2024 |
Contratação de empresa especializada na prestação de serviços de agenciamento de viagens, compreendendo reservas, emissões, remarcações e cancelamentos de passagens aéreas nacionais, internacionais e emissões de seguros-viagem de assistência em viagens internacionais, |
19.851.718,89 |
|
34/2024 |
Fornecimento de certificado digital - com imunidade - varejo – Serpro ID - PF - 3 anos, com vigência de 36 (trinta e seis meses). |
338.940,00 |
|
43/2024 |
Subscrições de Software As A Service (SaaS) da suíte de ferramentas AutoDESK Architecture, Engineering & Construction Collection. |
445.764,00 |
|
05/2025 |
Contratação de empresa especializada no fornecimento de licenças de soluções de infraestrutura onpremise e softwares como serviço (SaaS) da fabricante Microsoft, em regime desubscrição na modalidade Enterprise Agreement Subscription (EAS), buscando a renovação e expansão do licenciamento |
113.615.943,44 |
|
07/2025 |
Prestação de serviços de formação técnico-profissional metódica de adolescentes aprendizes, com atividades teóricas a serem realizadas em local(is) ser(em) disponibilizado(s) pela Contratada e atividades práticas a serem realizadas nas dependências da contratante |
5.272.680,60 |
|
17/2025 |
Contratação de licenciamento por subscrição do software MySQL Enterprise Edition (1-4 socket) com direitos de atualização e suporte técnico do fabricante do produto, nas condições estabelecidas neste instrumento e no edital e seus anexos, em especial no termo contratação de licenciamento por subscrição do software MySQL Enterprise Edition (1-4 socket) com direitos de atualização e suporte técnico |
137.400,00 |
|
23/2025 |
Contratação de empresa especializada na prestação de serviços de suporte técnico e manutenção, com fornecimento de peças, para equipamentos de armazenamento-Equipamento Storage Storwize e Equipamento Tape Library |
555.573,36 |
|
24/2025 |
Contratação de empresa especializada na prestação de serviços de suporte técnico e manutenção, com fornecimento de peças, para equipamentos de armazenamento- Equipamento Storage Unity |
62.299,92 |
|
25/2025 |
Contratação de empresa especializada na prestação de serviços de suporte técnico e manutenção, com fornecimento de peças, para equipamentos de armazenamento- Equipamento Storage |
74.599,92
|
|
27/2025 |
Contratação de empresa especializada no fornecimento de subscrições da solução Cloudera CDP Private Cloud, com manutenção, suporte e atualização de versões para as ferramentas que compõem a solução. |
733.529,60 |
|
29/2025 |
Contratação de empresa especializada no fornecimento de subscrição Omnissa Horizon Enterprise Term, por 12 meses, permitindo acesso de 500 usuários concorrentes (CCU). |
1.099.000,00 |
|
30/2025 |
Contratação de empresa especializada na prestação de serviços comuns de suporte técnico e fornecimento de garantia de equipamentos especializados em balanceamento de carga, sem dedicação exclusiva de mão de obra, bem como aquisição de funcionalidade no módulo APM do F5 para mais 1000 usuários, conjuntamente com seu suporte |
568.734,07 |
Dentre as contratações informadas acima, as mais relevantes vinculam-se aos seguintes objetivos do Ministério Público do Trabalho:
Contrato PGT nº 29/2025 - OE14 - Prover e manter soluções de tecnologia da informação e comunicação inovadoras, eficientes e eficazes;
Contrato PGT nº 07/2025 - OE16 - Aprimorar o desempenho no trabalho por meio do desenvolvimento e do reconhecimento de pessoas, zelando pela equidade e promovendo bem-estar.
Total de contratos, ARPs e termos aditivos
|
Instrumentos contratuais |
Quantidade |
|
Atas de registro de preços na Lei nº 14.133/2021 |
4 |
|
Contratos na Lei nº 8.666/1993 |
1 |
|
Contratos na Lei nº 14.133/2021 |
32 |
|
Termos de Apostilamento |
14 |
|
Termos Aditivos |
84 |
|
Total |
135 |
|
Termo Aditivos |
Quantidade |
|
Prorrogação sem reajuste |
42 |
|
Prorrogação com reajuste |
19 |
|
Supressão |
1 |
|
Acréscimo de objeto |
0 |
|
Alteração qualitativa/quantitativa |
13 |
|
Repactuação e reajuste |
5 |
|
Prorroga e resguarda |
4 |
|
Prorroga excepcionalmente |
0 |
|
Total |
84 |
Por sua vez, no que tange à Seção de Gestão de Contratos, foram firmadas quatro atas de registro de preços e celebrados 33 termos de contrato, afora as contratações nas quais o instrumento de contrato foi substituído por outros títulos idôneos, como a nota de empenho, em homenagem aos princípios da eficiência, da celeridade e da economicidade.
Ainda, foram celebrados 84 termos aditivos, dentre os quais 42 deles se referiam, além de outras alterações contratuais, às prorrogações de prazo de vigência, especialmente dos contratos cujos objetos são serviços continuados e essenciais ao órgão e ainda 14 termos de apostilamento, resultando em um total de 98 alterações contratuais.
Contratos terceirizados com cessão de mão de obra
Esses serviços são contratados sob a modalidade de terceirização, haja vista a especialização dessas atividades e a indisponibilidade dessas categorias funcionais no quadro de servidores do órgão. Atualmente, estão em vigor quatro contratos administrativos contemplando diversos serviços e categorias funcionais, conforme evidenciado na tabela abaixo:
|
Contratos com dedicação de mão de obra exclusiva |
||
|
Contrato |
Objeto |
Valor anual (R$) |
|
10/2023 |
Prestação de serviços técnicos profissionais de operação e manutenção em mídias audiovisuais, a serem executados por postos de trabalho residente e sob demanda e de posto de trabalho residente de supervisor técnico para atender às necessidades da PGT. |
993.166,80 |
|
05/2024 |
Contratação de empresa para prestação de serviços de técnico em secretariado e supervisor administrativo, com execução realizada mediante alocação de empregados nos quantitativos. |
4.160.811,36 |
|
25/2024 |
Contratação de empresa na prestação de serviços de apoio administrativo (supervisor administrativo, assistentes administrativos, telefonistas, auxiliar de jardinagem e afins, oficial de manutenção predial, almoxarife e carregador/estiva), com execução em regime de dedicação exclusiva de mão de obra mediante alocação de empregados nos quantitativos e cargos especificados no TR e demais documentos. |
4.347.058,42 |
|
33/2024 |
Contratação de empresa especializada para a prestação de serviços continuados de limpeza e copeiragem, abrangendo as categorias de garçom, copeira, supervisor/encarregado administrativo, auxiliar de supervisor/encarregado e servente de limpeza, com regime de dedicação exclusiva de mão de obra e fornecimento de equipamentos e demais insumos necessários ao atendimento das necessidades da PGT. |
3.122.241,84 |
Em 5 de agosto de 2025, foram instituídas políticas afirmativas com exigência de cotas em contratos de prestação de serviços terceirizados com locação de mão de obra residente no âmbito do Ministério Público do Trabalho, com o objetivo de fomentar a adoção de políticas afirmativas que possibilitem a redução das desigualdades e inclusão social de grupos vulneráveis no mercado de trabalho.
Por fim, frise-se que o Ministério Público do Trabalho tem como missão a defesa da ordem jurídica, do regime democrático e dos interesses sociais e individuais indisponíveis no âmbito das relações de trabalho. Portanto, coaduna com sua missão institucional o interesse deste órgão de promover a qualidade de vida de todos os trabalhadores, principalmente aqueles que atuam dentro da instituição, sejam eles pertencentes ao quadro efetivo ou terceirizados.
Contratações diretas: participação nos processos de contratação, principais tipos e justificativas para sua realização
As contratações diretas ocorrem, de forma geral, por vários motivos, podendo ser sintetizadas como nos casos de inviabilidade de competição, em razão do valor ou por conta de qualidade do fornecedor ou circunstâncias especiais que autorizam a Administração a dispensar o procedimento licitatório. No plano legal, as situações que inviabilizam a realização de procedimento licitatório ou autorizam dispensá-las estão previstas nos art. 74 e 75 da Lei nº 14.133/2021.
Dispensas em razão do valor
As dispensas de licitação em razão do valor estão amparadas nos incisos I e II do art. 75 da Lei nº 14.133/2021, conforme tabela abaixo:
|
Número |
Fundamentação legal |
Objeto |
Valor R$ |
|
001/2025 |
Art. 75, inciso II da |
44.90.52-12 – Vaporizador vertical |
890,00 |
|
016/2025 |
Art. 75, inciso II da |
33.90.30-16 – Películas refletivas |
13.020,00 |
|
017/2025 |
Art. 75, inciso II da |
33.90.30.19 – Caixas de papelão |
7.650,00 |
|
023/2025 |
Art. 75, inciso II da |
33.90.30-10 – Material odontológico |
7.091,10 |
|
028/2025 |
Art. 75, inciso II da |
33.90.30-23 – Uniformes GSI |
5.535,00 |
|
031/2025 |
Art. 75, inciso II da |
44.90.52-37 – |
32.000,00 |
|
046/2025 |
Art. 75, inciso II da |
33.90.40-12 - |
18.914,70 |
|
064/2025 |
Art. 75, inciso II da |
33.90.30-44 – Prisma em Acrílico |
2.820,00 |
|
066/2025 |
Art. 75, inciso II da Lei nº 14.133/2021 |
33.90.30-24 - Materiais manutenção predial – itens fracassados |
3.106,23 |
|
Total |
91.027,03 |
||
Dispensas para contratação de serviços disponibilizados por órgão da Administração Pública
Nesta categoria, enquadram-se os bens produzidos ou serviços prestados por órgão ou entidade que integram a Administração Pública, no caso concreto, o Serpro, Empresa de Tecnologia do Governo Federal, que desenvolve soluções digitais inovadoras que viabilizam as ações estratégicas do Estado, facilitando a vida do cidadão e gerando economia para o país, com fundamento legal no art. 74, inciso IX, da Lei 14.133/2021.
|
Nº |
Fundamentação legal |
Objeto |
Valor R$ |
|
|
059/2025 |
Art. 75, inciso IX, da |
33.90.40-21 - |
97.153,12 |
|
|
Total |
97.153,12 |
|||
Inexigibilidade de licitação (art. 25 da Lei nº 8.666/93 e art. 74 da Lei nº 14.133/2021)
A licitação é inexigível quando inviável a competição. É o que preceitua o art. 74 da Lei nº 14.133/2021 exemplificando, de forma não exaustiva, algumas hipóteses de inexigibilidade. Durante o ano de 2025, foram instruídos 43 processos de contratação por inexigibilidade, no valor total de R$ 19.000.831,48.
|
Mês/2025 |
Quantidade inexigibilidade de licitação |
Valor mensal R$ |
|
Janeiro |
4 |
8.716.024,26 |
|
Fevereiro |
2 |
6.021,20 |
|
Março |
2 |
1.043.406,80 |
|
Abril |
5 |
165.861,60 |
|
Maio |
5 |
124.273,40 |
|
Junho |
0 |
0 |
|
Julho |
3 |
41.630,00 |
|
Agosto |
4 |
29.531,20 |
|
Setembro |
5 |
21.076,22 |
|
Outubro |
7 |
31.324,80 |
|
Novembro |
4 |
8.737.730,00 |
|
Dezembro |
2 |
83.952,00 |
|
Total |
43 |
19.000.831,48 |
No exercício de 2025, os gastos de maior expressividade financeira concentraram-se em outros objetos, a saber:
-
Pagamento de condomínio decorrente da locação do edifício sede da Procuradoria-Geral do Trabalho, no valor anual de R$ 8.709.242,28. Cumpre salientar que já foi instruído o processo para taxa do condomínio do referido edifício para o exercício de 2026 no valor de R$ 8.700.00,00.
-
Pagamento de IPTU do edifício sede da Procuradoria-Geral do Trabalho que, por ser alugado, traz a obrigação para o locatário de pagamento do referido imposto, no valor de R$ 1.042.326,80.
Ressalvadas essas duas obrigações acima mencionadas, as demais despesas contratadas por inexibigilidade concentram-se no segmento de capacitação, por meio do qual são disponibilizados cursos e treinamentos de interesse não apenas da Procuradoria-Geral do Trabalho, mas também do Ministério Público do Trabalho, com vistas ao aprimoramento de habilidades e ao desenvolvimento profissional, técnico e emocional dos servidores e membros que integram o órgão, além de serviços atinentes ao segmento de tecnologia da informação.
Dentre outras despesas de valores irrelevantes, concentram-se o pagamento de despesas com o CREA e CAU para Diretoria de Arquitetura e Engenharia, taxa de licenciamento de veículos, pagamento de taxas condominiais dos imóveis funcionais desocupados e/ou pagamento de taxas extraordinárias dos referidos imóveis.
Considerando o planejamento estruturado das contratações na PGT, operacionalizado por meio da adequada instrução processual e do atendimento às etapas preparatórias previstas na Lei nº 14.133/2021, notadamente a elaboração do Estudo Técnico Preliminar, do Mapa de Riscos, do Termo de Referência e da Pesquisa de Preços com metodologia reconhecida, verifica‑se que as contratações realizadas no exercício de 2025 transcorreram sem registros de inconformidades materiais ou procedimentais. As análises documentais evidenciam a inexistência de eventos que pudessem comprometer a regularidade, economicidade ou eficiência dos certames, indicando aderência às melhores práticas de planejamento e governança das contratações públicas.
Adicionalmente, a execução de revisões sistemáticas das minutas padrão de editais e contratos mostrou ser fator determinante para o fortalecimento do princípio da eficiência administrativa. Tal medida permitiu a consolidação das minutas alinhadas às diretrizes de gestão de riscos, promovendo a redução de retrabalhos, a mitigação de potenciais passivos jurídicos e a uniformização procedimental. Observa-se, assim, que o aprimoramento contínuo dos instrumentos convocatórios e contratuais resultou em ganhos relevantes de segurança jurídica, racionalidade operacional e celeridade na tramitação dos processos de contratação.
No exercício de 2025, todos os contratos decorrentes de pregões eletrônicos, dispensas eletrônicas e processos de inexigibilidade foram formalizados pelo Departamento de Licitações e Contratos. Da mesma forma, foram emitidos e celebrados os termos aditivos necessários, incluindo renovações contratuais e alterações quantitativas e qualitativas. A situação observada decorre da execução regular dos fluxos internos de trabalho do Departamento de Licitações e Contratos, que conduziu todos os processos conforme previsto na legislação e nos normativos internos. Também contribuiu a adoção de rotinas de acompanhamento sistemático das demandas de formalização e aditivação. Além disso, evitou riscos de execução contratual sem cobertura formal e fragilidades nos controles administrativos.
Conforme os princípios da eficiência e da continuidade administrativa, bem como as boas práticas de planejamento e execução de contratações públicas, os procedimentos licitatórios devem ser concluídos dentro dos prazos previstos no planejamento anual, de modo a assegurar regularidade, economicidade e atendimento tempestivo das necessidades da instituição. No entanto, dois procedimentos previstos no planejamento anual do órgão não foram finalizados, permanecendo pendentes com conclusão prevista para 2026.
Outrossim, a meta institucional referente à capacitação continuada para os servidores do Departamento de Licitações e Contratos não foi alcançada no exercício de 2025. Constatou-se baixa adesão dos servidores às ações de treinamento disponibilizadas, mesmo diante da oferta de módulos formativos no sistema COSMOS. A elevada demanda operacional, somada à alta rotatividade de pessoal no setor, dificultou a consolidação de rotinas permanentes de desenvolvimento profissional.
Principais desafios e ações futuras
O segmento de licitações e contratos, inevitavelmente, precisa se adaptar às mudanças sociais, econômicas e legislativas com frequência, alterando as rotinas e procedimentos para entregar à Administração os bens e serviços necessários ao atendimento do interesse público.
A despeito da complexidade envolvida na matéria, o Departamento de Licitações e Contratos conseguiu desempenhar a sua função institucional, promovendo a aquisição de bens e serviços, prorrogando os contratos vigentes e promovendo a apuração de responsabilidade, nos casos de inadimplemento contratual, bem como outros previstos no art. 155 da Lei nº 14.133/2021.
Principais desafios:
-
Tendo em vista a implementação da gestão de riscos no âmbito do MPT, cuja atribuição é da Secretaria de Gestão de Riscos, o Departamento de Licitações e Contratos buscará intensificar o mapeamento dos riscos inerentes aos processos de contratação de bens e serviços, especificamente em relação às causas, consequências e possíveis ações de controle, a fim de garantir a observância do ordenamento jurídico e das normas internas, buscando além de tudo uma atuação preventiva e proativa da gestão;
-
Estabelecer critérios para qualificar de forma contínua a equipe de servidores do DLC, pois trata-se de atividade que se baseia diretamente em leis e regulamentos, devendo-se observar: i) O ordenamento jurídico (leis, portarias, decretos e instruções normativas); ii) Decisões e orientações dos órgãos de controle interno e externo, do Conselho Nacional do Ministério Público e Conselho Superior do Ministério Público do Trabalho; e, iii) Normas internas. Além do extenso arcabouço jurídico em constante mutação, é importante ter acesso a procedimentos e melhores práticas adotadas no âmbito de outras entidades da Administração Pública;
-
Realizar, no interesse da Administração, aquisições centralizadas, ou seja, aquelas em que a PGT adquire bens/serviços para todas as Procuradorias Regionais do Trabalho, bem como as aquisições compartilhadas com outros ramos do MPU, visando a eficiência e a economicidade na utilização dos recursos públicos;
-
Aperfeiçoar os procedimentos relativos à fase interna da licitação, especialmente os mecanismos de planejamento da contratação, posto que as falhas nesta fase serão refletidas, indiscutivelmente, na fase externa e na gestão contratual, podendo comprometer a qualidade dos produtos e serviços adquiridos pela PGT;
-
Concluir os manuais de licitações e contratos e de fiscalização e gestão contratual em conjunto com as comissões designadas para tal finalidade.
Ações futuras:
-
Envidar esforços junto à Administração para se definir estratégias, políticas e processos de aquisição a fim de estabelecer um cronograma de aquisições mais eficiente, respeitando o plano de contratação anual do órgão;
-
Aprimorar os processos de trabalho, viabilizando a definição de rotinas pré-estabelecidas, por meio de manuais de procedimentos, assim como a atualização daqueles já existentes, permitindo a liberação da mão de obra disponível para treinamentos/atualizações na área de licitações e contratos;
-
Aprimorar a interação entre os responsáveis pela elaboração dos artefatos da contratação e os demais atores que compõem o processo de aquisição (Assessoria Jurídica, Seção de Suporte a Compras, responsável pela Pesquisa de Preço e Seção de Gestão de Contratos, responsável pela elaboração do Instrumento da Contratação), pois as eventuais falhas na elaboração dos referidos documentos prejudicam a execução do contrato e, na maioria das vezes, compromete o objetivo pretendido pela contratação. Cabe ressaltar que o departamento passou a analisar os termos de referência previamente à etapa de pesquisa de preços com objetivo de identificar possíveis desconformidades que impliquem atrasos no procedimento licitatório, bem como prejuízos na execução do contrato.
Gestão patrimonial e infraestrutura
Gestão da frota de veículos
O controle e gestão da frota é realizado por servidores da área de Segurança Institucional de cada unidade do MPT, os quais possuem, entre outras, as seguintes atribuições específicas: controlar, manter e fiscalizar a frota.
Algumas unidades, dependendo da quantidade de veículos e da demanda, dispõem ainda de contratos administrativos celebrados com empresas especializadas na prestação de serviços de implantação, operacionalização de sistema informatizado de administração, gerenciamento de despesas de abastecimento e manutenção de frota.
No âmbito do MPT, as legislações federais que regem a constituição e a forma de utilização da frota de veículos são as Leis nºs 9.503/1997 e 9.327/1996, e o Decreto nº 9.287/2018. Internamente, os normativos que as regulamentam são a Portaria PGR/MPU nº 70/2015 e a Portaria MPT nº 672/2012.
O disposto na Portaria PGR/MPU nº 70/2015, que regulamenta a aquisição e a utilização dos veículos oficiais no âmbito do Ministério Público da União (MPU), em seu art. 3º, § 2º e 3º, relaciona os critérios para ampliação e renovação da frota:
-
Composição e qualidade da frota atual;
-
Necessidade de serviço;
-
Compatibilidade do dispêndio com o planejamento estratégico institucional;
-
Dotação orçamentária disponível;
-
Condições e custos de utilização e manutenção da frota;
-
Avanços tecnológicos;
-
Segurança dos usuários;
-
Uso prolongado, desgaste prematuro ou manutenção onerosa da frota;
-
Quilometragem média da frota e quilometragem aferida no momento da proposta da renovação;
-
Sinistro com perda total;
-
Histórico de custos de manutenção e estado de conservação que torne possível a previsão de que os custos de manutenção atingirão, com brevidade, percentual antieconômico.
A classificação dos veículos está prevista no Anexo da Portaria PGR/MPU nº 70/2015:
Classificação dos veículos de acordo com Anexo da Portaria PGR/MPU nº 70/2015
|
Tipo |
Usuário |
Enquadramento |
Finalidade |
|
Representação I |
Procurador-geral da República |
Automóvel do tipo sedan grande, com motor de potência robusta. Cor preta e placa de bronze nas cores verde e amarela. |
Transporte de autoridade |
|
Representação II |
Procurador-geral do Trabalho; corregedor-geral; ouvidores-gerais, subprocuradores-gerais e cargos de natureza especial |
Automóvel do tipo sedan médio, com motor de potência robusta. Cor preta e placa de bronze ou duralumínio, de fundo preto, com a numeração central e, abaixo, o cargo da autoridade usuária. |
Transporte de autoridades |
|
Especial I |
Membros do MPU e diretores-gerais |
Automóvel do tipo sedan médio, com motor de potência robusta. Cor preta, placa de fundo branco ou preto, com a numeração sequencial central e, abaixo, a sigla do órgão. |
Transporte de autoridades |
|
Especial II |
Membros do MPU |
Automóvel do tipo caminhoneta SUV, com motor de potência condizente com o serviço a realizar. Cor preta, placa de fundo branco ou preto, com a numeração sequencial central e, abaixo, a sigla do órgão. |
Transporte de autoridade |
|
Serviço I |
Membros do MPU e servidores |
Automóvel do tipo caminhoneta SUV, caminhonete ou sedan com motor de potência condizente com a atividade de segurança, sem especificação de cor. Com placa de fundo branco, numeração sequencial central e, abaixo, a sigla do órgão, com opção de placa vinculada. |
Transporte de autoridades e servidores, exclusivo em missões de segurança, previamente autorizadas pelo secretário-geral ou pelo diretor-geral |
|
Serviço II |
Servidores |
Automóvel do tipo perua ou hatch, condizente com o serviço a realizar. Cor branca e placa de fundo branco. |
Transporte de servidores, documentos, processos, material de expediente e de consumo |
|
Serviço III |
Servidores |
Automóvel do tipo utilitário leve, com caçamba aberta ou fechada, para acomodação de carga ou automóvel furgão, com caçamba fechada. Motor de potência condizente com o serviço a realizar, cor branca e placa de fundo branco. |
Transporte de servidores e de carga |
|
Serviço IV |
Servidores |
Automóvel do tipo pesado, com motor de potência condizente com o serviço a realizar, tração 4x2 ou 4x4, de 3 a 7 passageiros. Cabine simples ou dupla, carroceria ou baú. Cor branca e placa de fundo branco. |
Transporte de servidores e de carga |
|
Serviço V |
Membros do MPU e servidores |
Automóvel com motor de potência condizente com o serviço a realizar, tração 4x2 ou 4x4, 5 passageiros. Cor branca ou preta e placa de fundo branco. |
Transporte de autoridades, de servidores e de carga |
|
Serviço VI |
Membros do MPU e servidores |
Automóvel com motor de potência condizente com o serviço a realizar. Cor branca e placa de fundo branca. Até 16 lugares. |
Transporte de autoridades e de servidores |
|
Serviço médico |
Membros do MPU e servidores |
Automóvel do tipo furgão, ambulância UTI móvel. |
Transporte de autoridades e de servidores |
A Portaria MPT nº 672/2012 regulamenta, no âmbito do Ministério Público do Trabalho, a destinação, o enquadramento, o uso, o controle, a manutenção, a guarda e a conservação de veículos oficiais.
Os veículos oficiais são utilizados pelos usuários no estrito cumprimento do dever funcional. No âmbito do MPT, o público-alvo dos atendimentos são os membros, servidores e funcionários terceirizados, para a realização de diligências, inspeções, participação em audiências judiciais e outros eventos que exigem a presença de membros do Ministério Público, além de atividades administrativas referentes à entrega de documentos e materiais.
No exercício de 2025, foi recebido em doação uma Renault Van Master de carga.
A frota atual conta atualmente com 418 veículos, sendo divididos conforme tabela a seguir:
|
Unidades |
Especial I |
Especial II |
Serviço I |
Serviço II |
Serviço III |
Serviço IV |
Serviço V |
Serviço VI |
Repres. II |
Total por Unidade Regional |
|
PGT |
14 |
00 |
09 |
07 |
01 |
00 |
02 |
02 |
01 |
36 |
|
PRT01 |
12 |
05 |
03 |
02 |
00 |
01 |
00 |
01 |
00 |
24 |
|
PRT02 |
09 |
00 |
02 |
08 |
00 |
00 |
00 |
00 |
00 |
19 |
|
PRT03 |
06 |
00 |
00 |
06 |
01 |
00 |
08 |
00 |
00 |
21 |
|
PRT04 |
03 |
03 |
00 |
04 |
00 |
02 |
08 |
00 |
00 |
20 |
|
PRT05 |
12 |
00 |
00 |
04 |
00 |
00 |
16 |
00 |
01 |
33 |
|
PRT06 |
07 |
00 |
04 |
02 |
00 |
04 |
00 |
00 |
00 |
17 |
|
PRT07 |
03 |
04 |
03 |
02 |
00 |
01 |
00 |
00 |
00 |
13 |
|
PRT08 |
01 |
00 |
00 |
01 |
07 |
00 |
10 |
00 |
00 |
19 |
|
PRT09 |
02 |
02 |
00 |
08 |
00 |
00 |
09 |
00 |
00 |
21 |
|
PRT10 |
05 |
00 |
00 |
04 |
02 |
00 |
10 |
00 |
00 |
21 |
|
PRT11 |
04 |
00 |
00 |
01 |
03 |
00 |
02 |
00 |
00 |
10 |
|
PRT12 |
00 |
10 |
01 |
00 |
00 |
00 |
00 |
00 |
00 |
11 |
|
PRT13 |
04 |
04 |
00 |
03 |
00 |
00 |
00 |
00 |
00 |
11 |
|
PRT14 |
04 |
00 |
00 |
02 |
00 |
00 |
08 |
00 |
00 |
14 |
|
PRT15 |
07 |
10 |
03 |
02 |
00 |
01 |
04 |
00 |
0 |
27 |
|
PRT16 |
00 |
00 |
08 |
02 |
00 |
00 |
00 |
00 |
00 |
10 |
|
PRT17 |
03 |
01 |
00 |
01 |
00 |
01 |
03 |
00 |
00 |
09 |
|
PRT18 |
03 |
00 |
00 |
03 |
01 |
00 |
11 |
00 |
00 |
18 |
|
PRT19 |
01 |
00 |
00 |
01 |
00 |
00 |
04 |
00 |
00 |
06 |
|
PRT20 |
03 |
03 |
00 |
03 |
00 |
01 |
00 |
00 |
00 |
10 |
|
PRT21 |
01 |
0 |
05 |
01 |
02 |
00 |
02 |
00 |
00 |
11 |
|
PRT22 |
02 |
05 |
01 |
01 |
00 |
01 |
00 |
00 |
00 |
10 |
|
PRT23 |
00 |
00 |
02 |
03 |
00 |
03 |
00 |
00 |
02 |
10 |
|
PRT24 |
02 |
00 |
00 |
01 |
00 |
00 |
11 |
00 |
00 |
14 |
|
TOTAL |
|
|
|
|
|
|
|
|
|
415 |
Na PGT, a contratação de empresa especializada para prestação de serviços de gestão de frota para fornecimento de combustíveis e manutenção preventiva e corretiva de veículos foi firmada em 2025. O contrato inclui o fornecimento de peças, acessórios e equipamentos, lavagem e transporte por guincho, junto à rede especializada de serviços própria ou credenciada, na monta de R$ 372.170,67. A contratação de empresa especializada na prestação de serviços de limpeza, higienização, conservação e lavagem de veículos, que utilize técnicas ecologicamente corretas, para atender às demandas desses serviços nos veículos também foi celebrada, na ordem de R$ 52.470,00.
A política de tratamento dos veículos inservíveis no âmbito do MPT segue o disposto do art. 5º da Portaria PGR/MPU nº 70, de 29 de setembro de 2015:
Art. 5º O reaproveitamento de veículos oficiais deverá ocorrer, preferencialmente, entre os ramos do MPU, salvo quando considerados antieconômicos e irrecuperáveis, caso em que seu desfazimento se dará na forma prevista em regulamento.
Dessa forma, um total de cinco veículos – um Renault Sandero, três Palios Weekend e um Renault Duster foram desfeitos no exercício:
|
PROCURADORIA |
2024 |
DESFAZIMENTOS |
AQUISIÇÕES |
TOTAL 2023 |
|
PGT |
39 |
5 |
1 |
35 |
|
TOTAL |
39 |
5 |
1 |
35 |
Desfazimento de ativos: Decreto n° 9.373/2018 e Portaria n° 1.542/2022-PGT
A Comissão de Desfazimento de Bens e Materiais foi constituída por intermédio da Portaria nº 447/2025 DA/PGT, de 02 de abril de 2025, tendo desenvolvido suas atividades sob a égide do Decreto n° 9.373/2018 e da Portaria n° 1.542/2022 - PGT, tendo em vista que o Decreto nº 12.785, responsável por revogar o Decreto nº 9.373, de 11 de maio de 2018 e o Decreto nº 10.340, de 6 de maio de 2020, foi publicado somente em 19 de dezembro de 2025, data em que passou a vigorar, ocasião em que os trabalhos da Comissão já estavam praticamente concluídos.
As classificações e avaliações de bens e materiais para doação ou transferência foram efetuadas pela comissão constituída e os bens distribuídos em Lotes, que deveriam ser indicados na manifestação de interesse dos órgãos ou entidades.
Relação dos Lotes:
|
LOTE 1 |
|||
|
nº |
Patrimônio |
Bens |
Estado |
|
1 |
216 |
POLTRONA GIRATÓRIA EM COURVIN |
Ocioso |
|
2 |
703 |
POLTRONA GIRATÓRIA EM COURVIN |
Ocioso |
|
3 |
1727 |
POLTRONA GIRATÓRIA EM COURVIN |
Ocioso |
|
4 |
1729 |
POLTRONA GIRATÓRIA EM COURVIN |
Ocioso |
|
5 |
2629 |
CADEIRA GIRATÓRIA EM COURVIN |
Ocioso |
|
6 |
7993 |
ARMARIO ALTO EM MADEIRA |
Ocioso |
|
7 |
7994 |
ARMARIO ALTO EM MADEIRA |
Ocioso |
|
8 |
8422 |
POLTRONA GIRATÓRIA ESPALDAR MÉDIO |
Ocioso |
|
9 |
11051 |
POLTRONA GIRATORIA EM TECIDO |
Ocioso |
|
10 |
11080 |
FAC-SÍMILE ELETRÔNICO |
Ocioso |
|
11 |
13916 |
CADEIRA GIRATORIA EM TECIDO |
Ocioso |
|
12 |
14506 |
UMIDIFICADOR DE AR |
Ocioso |
|
13 |
14575 |
POLTRONA GIRATORIA EM TECIDO |
Ocioso |
|
14 |
15052 |
MICROCOMPUTADOR PORTÁTIL NOTEBOOK |
Ocioso |
|
15 |
15062 |
MICROCOMPUTADOR PORTÁTIL NOTEBOOK |
Ocioso |
|
16 |
15249 |
POLTRONA GIRATÓRIA EM COURVIN |
Ocioso |
|
17 |
15639 |
CADEIRA FIXA EM PLÁSTICO |
Ocioso |
|
18 |
17613 |
SUPORTE PARA TV LCD |
Ocioso |
|
19 |
18112 |
PROJETOR MULTIMÍDIA |
Ocioso |
|
20 |
18116 |
PROJETOR MULTIMÍDIA |
Ocioso |
|
21 |
18117 |
PROJETOR MULTIMÍDIA |
Ocioso |
|
22 |
18413 |
MESA PARA REFEITÓRIO |
Ocioso |
|
23 |
18782 |
ARMÁRIO ALTO |
Ocioso |
|
24 |
18821 |
ARMÁRIO ALTO |
Ocioso |
|
25 |
18867 |
GAVETEIRO FIXO |
Ocioso |
|
26 |
18868 |
GAVETEIRO FIXO |
Ocioso |
|
27 |
18875 |
GAVETEIRO FIXO |
Ocioso |
|
28 |
18880 |
GAVETEIRO FIXO |
Ocioso |
|
29 |
19172 |
APPLIANCE HARDWARE E SOFTWARE DEDICADOS |
Ocioso |
|
30 |
19173 |
APPLIANCE HARDWARE E SOFTWARE DEDICADOS |
Ocioso |
|
31 |
19179 |
CALCULADORA DE MESA COM FITA E DISPLAY |
Ocioso |
|
32 |
19292 |
MICROCOMPUTADOR PORTÁTIL NOTEBOOK |
Ocioso |
|
33 |
19294 |
MICROCOMPUTADOR PORTÁTIL NOTEBOOK |
Ocioso |
|
34 |
19296 |
MICROCOMPUTADOR PORTÁTIL NOTEBOOK |
Ocioso |
|
35 |
19298 |
MICROCOMPUTADOR PORTÁTIL NOTEBOOK |
Ocioso |
|
36 |
19300 |
MICROCOMPUTADOR PORTÁTIL NOTEBOOK |
Ocioso |
|
37 |
19304 |
MICROCOMPUTADOR PORTÁTIL NOTEBOOK |
Ocioso |
|
38 |
19316 |
MICROCOMPUTADOR PORTÁTIL NOTEBOOK |
Ocioso |
|
39 |
20065 |
CADEIRA GIRATORIA EM TECIDO |
Ocioso |
|
40 |
20176 |
MICROCOMPUTADOR PORTÁTIL NOTEBOOK |
Ocioso |
|
41 |
20920 |
SUPORTE PARA MONITOR LCD |
Ocioso |
|
42 |
20921 |
SUPORTE PARA MONITOR LCD |
Ocioso |
|
43 |
20922 |
SUPORTE PARA MONITOR LCD |
Ocioso |
|
44 |
20923 |
SUPORTE PARA MONITOR LCD |
Ocioso |
|
45 |
21525 |
POLTRONA GIRATÓRIA EM COURVIN |
Ocioso |
|
46 |
21884 |
LIQUIDIFICADOR TIPO RESIDENCIAL |
Ocioso |
|
47 |
22209 |
MICROCOMPUTADOR PORTÁTIL NOTEBOOK |
Ocioso |
|
48 |
22925 |
MAQUINA PARA FAZER CAFE EXPRESSO |
Ocioso |
|
49 |
22928 |
MAQUINA PARA FAZER CAFE EXPRESSO |
Ocioso |
|
50 |
23611 |
MICROCOMPUTADOR PORTÁTIL NOTEBOOK |
Ocioso |
|
51 |
23644 |
POLTRONA GIRATÓRIA ESPALDAR MÉDIO |
Ocioso |
|
52 |
23678 |
ARMÁRIO ALTO EM MDF |
Ocioso |
|
53 |
23679 |
ARMÁRIO ALTO EM MDF |
Ocioso |
|
54 |
23736 |
GAVETEIRO FIXO |
Ocioso |
|
55 |
24026 |
POLTRONA GIRATÓRIA INTERLOCUTOR ESPALDAR MÉDIO |
Ocioso |
|
56 |
24105 |
AR CONDICIONADO DE PAREDE 18.000 BTU S |
Ocioso |
|
57 |
24108 |
AR CONDICIONADO DE PAREDE 18.000 BTU S |
Ocioso |
|
58 |
24365 |
MÁQUINA DE GELO |
Ocioso |
|
59 |
24366 |
MÁQUINA DE GELO |
Ocioso |
|
60 |
24541 |
CADEIRAS GIRATÓRIAS SEM BRAÇO |
Ocioso |
|
61 |
24560 |
POLTRONA GIRATÓRIA, COM BRAÇOS, ESPALDAR MÉDIO |
Ocioso |
|
62 |
24742 |
CADEIRA MODELO:GIRATÓRIA SEM BRAÇOS |
Ocioso |
|
63 |
24957 |
POLTRONA GIRATÓRIA, C/BRAÇOS, RECLINÁVEL, TECIDO PRETO |
Ocioso |
|
64 |
25127 |
CAFETEIRA |
Ocioso |
|
65 |
25133 |
CAFETEIRA |
Ocioso |
|
66 |
27024 |
PORTA CPU |
Ocioso |
|
67 |
27026 |
PORTA CPU |
Ocioso |
|
68 |
27054 |
PORTA CPU |
Ocioso |
|
69 |
27090 |
PORTA CPU |
Ocioso |
|
70 |
28711 |
PORTA CPU |
Ocioso |
|
71 |
28916 |
PORTA CPU |
Ocioso |
|
72 |
29148 |
AUTOCLAVE DIGITAL |
Ocioso |
|
73 |
29538 |
PORTA CPU |
Ocioso |
|
74 |
30238 |
SOFÁ 03 LUGARES |
Ocioso |
|
75 |
30508 |
POLTRONA GIRATÓRIA COM BRAÇOS |
Ocioso |
|
76 |
30522 |
POLTRONA GIRATÓRIA COM BRAÇOS |
Ocioso |
|
77 |
30540 |
POLTRONA GIRATÓRIA COM BRAÇOS |
Ocioso |
|
78 |
30551 |
POLTRONA GIRATÓRIA COM BRAÇOS |
Ocioso |
|
79 |
31016 |
POLTRONA GIRATÓRIA COM BRAÇOS |
Ocioso |
|
80 |
31024 |
POLTRONA GIRATÓRIA COM BRAÇOS |
Ocioso |
|
81 |
31420 |
04003341 POLTRONA GIRATORIA ESPALDAR MEDIO EM TECIDO |
Ocioso |
|
82 |
32491 |
LIQUIDIFICADOR BRITANIA |
Ocioso |
|
83 |
32645 |
ULTRABOOK HP 840 G3 ACOMPANHA: SISTEMA OPERACIONAL MICROSOFT WINDOWS 10 PROFESSIONAL - PPB PORT 131-DOU 14/03/08 ACOMPANHA: MALETA DE TRANSPORTE HP - PN: F9G97AA E MOUSE HP TRAVEL USB PN: G1K28AA#ABA |
Ocioso |
|
84 |
32663 |
ULTRABOOK HP 840 G3 ACOMPANHA: SISTEMA OPERACIONAL MICROSOFT WINDOWS 10 PROFESSIONAL - PPB PORT 131-DOU 14/03/08 ACOMPANHA: MALETA DE TRANSPORTE HP - PN: F9G97AA E MOUSE HP TRAVEL USB PN: G1K28AA#ABA |
Ocioso |
|
85 |
33312 |
MAQUINA PARA FAZER CAFE EXPRESSO |
Ocioso |
|
86 |
35374 |
CADEIRA C/ ESPALDAR MEDIO REGULAVEL |
Ocioso |
|
87 |
38698 |
NOTEBOOK LENOVO |
Ocioso |
|
88 |
56225 |
NOTEBOOK LENOVO, MODELO ULTRABOOK T440S, I5-4200, COM MALETA PARA TRANSPORTE, MINI-MOUSE, ADAPTADOR DE TOMADA E CABO MINI DISPLAYPORT |
Ocioso |
|
89 |
56243 |
LIQUIDIFICADOR TIPO RESIDENCIAL |
Ocioso |
|
90 |
56246 |
LIQUIDIFICADOR TIPO RESIDENCIAL |
Ocioso |
|
91 |
69949 |
RADIO TRANSCEPTOR PORTÁTIL |
Ocioso |
|
92 |
69950 |
RADIO TRANSCEPTOR PORTÁTIL |
Ocioso |
|
93 |
69951 |
RADIO TRANSCEPTOR PORTÁTIL |
Ocioso |
|
94 |
69952 |
RADIO TRANSCEPTOR PORTÁTIL |
Ocioso |
|
95 |
69953 |
RADIO TRANSCEPTOR PORTÁTIL |
Ocioso |
|
96 |
69954 |
RADIO TRANSCEPTOR PORTÁTIL |
Ocioso |
|
97 |
69955 |
TABLET COM TELA DE LED |
Ocioso |
|
98 |
69956 |
TABLET COM TELA DE LED |
Ocioso |
|
99 |
69957 |
TABLET COM TELA DE LED |
Ocioso |
|
100 |
69958 |
TABLET COM TELA DE LED |
Ocioso |
|
101 |
69959 |
TABLET COM TELA DE LED |
Ocioso |
|
102 |
109952 |
CLT-LTR |
Ocioso |
|
103 |
109955 |
CLT-LTR |
Ocioso |
|
104 |
109981 |
CLT-LTR |
Ocioso |
|
105 |
110024 |
CURSO DE DIREITO DO TRABALHO |
Ocioso |
|
106 |
110037 |
CURSO DE DIREITO DO TRABALHO |
Ocioso |
|
107 |
110048 |
CURSO DE DIREITO DO TRABALHO |
Ocioso |
|
108 |
110056 |
CURSO DE DIREITO DO TRABALHO |
Ocioso |
|
109 |
110096 |
COMENTÁRIOS À CLT |
Ocioso |
|
110 |
110099 |
COMENTÁRIOS À CLT |
Ocioso |
|
111 |
110108 |
COMENTÁRIOS À CLT |
Ocioso |
|
112 |
110115 |
COMENTÁRIOS À CLT |
Ocioso |
|
113 |
110125 |
COMENTÁRIOS À CLT |
Ocioso |
|
114 |
110204 |
SÚMULAS E ORIENTAÇÕES JURISPRUDENCIAIS DO TST |
Ocioso |
|
115 |
110207 |
SÚMULAS E ORIENTAÇÕES JURISPRUDENCIAIS DO TST |
Ocioso |
|
116 |
110226 |
SÚMULAS E ORIENTAÇÕES JURISPRUDENCIAIS DO TST |
Ocioso |
|
117 |
110232 |
SÚMULAS E ORIENTAÇÕES JURISPRUDENCIAIS DO TST |
Ocioso |
|
118 |
111775 |
COMENTÁRIOS À CONSOLIDAÇÃO DAS LEIS TRABALHISTAS |
Ocioso |
|
119 |
111780 |
COMENTÁRIOS À CONSOLIDAÇÃO DAS LEIS TRABALHISTAS |
Ocioso |
|
120 |
111781 |
COMENTÁRIOS À CONSOLIDAÇÃO DAS LEIS TRABALHISTAS |
Ocioso |
|
121 |
111782 |
COMENTÁRIOS À CONSOLIDAÇÃO DAS LEIS TRABALHISTAS |
Ocioso |
|
122 |
111786 |
CÓDIGO DE PROCESSO CIVIL E LEGISLAÇÃO PROCESSUAL EM VIGOR |
Ocioso |
|
123 |
111787 |
CÓDIGO DE PROCESSO CIVIL E LEGISLAÇÃO PROCESSUAL EM VIGOR |
Ocioso |
|
124 |
111793 |
CÓDIGO DE PROCESSO CIVIL E LEGISLAÇÃO PROCESSUAL EM VIGOR |
Ocioso |
|
125 |
111794 |
CÓDIGO DE PROCESSO CIVIL E LEGISLAÇÃO PROCESSUAL EM VIGOR |
Ocioso |
|
126 |
210493 |
FILTRO DE ÁGUA |
Ocioso |
|
127 |
210494 |
FILTRO DE ÁGUA |
Ocioso |
|
Quantidade de Patrimônios: 127 |
|||
|
LOTE 2 |
|||
|
nº |
Patrimônio |
Bens |
estado |
|
1 |
279 |
MESA PARA TELEFONE EM MADEIRA |
Ocioso |
|
2 |
3230 |
FICHÁRIO EM ACO COM TAMPA DE ACRÍLICO |
Ocioso |
|
3 |
8129 |
GRAMPEADOR DE MESA SEMI-INDUSTRIAL |
Ocioso |
|
4 |
8152 |
DIVÃ PARA EXAME |
Ocioso |
|
5 |
9150 |
POLTRONA GIRATORIA EM TECIDO ESPALDAR ALTO |
Ocioso |
|
6 |
10512 |
ESTANTE EM MADEIRA |
Ocioso |
|
7 |
13539 |
AUTOCLAVE ELÉTRICA |
Ocioso |
|
8 |
13679 |
MESA EM L |
Ocioso |
|
9 |
13680 |
MESA EM L |
Ocioso |
|
10 |
13702 |
CADEIRA GIRATÓRIA EM COURVIN |
Ocioso |
|
11 |
13706 |
CADEIRA GIRATÓRIA EM COURVIN |
Ocioso |
|
12 |
13712 |
CADEIRA GIRATÓRIA EM COURVIN |
Ocioso |
|
13 |
13736 |
GAVETEIRO VOLANTE |
Ocioso |
|
14 |
13737 |
GAVETEIRO VOLANTE |
Ocioso |
|
15 |
14237 |
GRAMPEADOR DE MESA SEMI-INDUSTRIAL |
Ocioso |
|
16 |
14487 |
GRAMPEADOR DE MESA SEMI-INDUSTRIAL |
Ocioso |
|
17 |
14539 |
CADEIRA GIRATORIA EM TECIDO |
Ocioso |
|
18 |
14581 |
POLTRONA GIRATORIA EM TECIDO |
Ocioso |
|
19 |
15135 |
POLTRONA GIRATÓRIA EM COURVIN |
Ocioso |
|
20 |
15138 |
POLTRONA GIRATÓRIA EM COURVIN |
Ocioso |
|
21 |
15195 |
POLTRONA GIRATÓRIA EM COURVIN |
Ocioso |
|
22 |
15212 |
POLTRONA GIRATÓRIA EM COURVIN |
Ocioso |
|
23 |
15666 |
CADEIRA FIXA EM PLÁSTICO |
Ocioso |
|
24 |
15670 |
CADEIRA FIXA EM PLÁSTICO |
Ocioso |
|
25 |
16186 |
GAVETEIRO VOLANTE |
Ocioso |
|
26 |
16406 |
ESCADA EM ALUMÍNIO |
Ocioso |
|
27 |
17484 |
MESA PARA REUNIAO REDONDA |
Ocioso |
|
28 |
17495 |
MESA PARA REUNIAO REDONDA |
Ocioso |
|
29 |
17668 |
PROJETOR MULTIMÍDIA |
Ocioso |
|
30 |
17669 |
PROJETOR MULTIMÍDIA |
Ocioso |
|
31 |
17699 |
FONE DE OUVIDO |
Ocioso |
|
32 |
17703 |
FONE DE OUVIDO |
Ocioso |
|
33 |
17707 |
FONE DE OUVIDO |
Ocioso |
|
34 |
17717 |
FONE DE OUVIDO |
Ocioso |
|
35 |
17732 |
FONE DE OUVIDO |
Ocioso |
|
36 |
17740 |
FONE DE OUVIDO |
Ocioso |
|
37 |
18041 |
RECEPTOR PARA TV DIGITAL |
Ocioso |
|
38 |
18044 |
RECEPTOR PARA TV DIGITAL |
Ocioso |
|
39 |
18046 |
RECEPTOR PARA TV DIGITAL |
Ocioso |
|
40 |
18059 |
RECEPTOR PARA TV DIGITAL |
Ocioso |
|
41 |
18063 |
RECEPTOR PARA TV DIGITAL |
Ocioso |
|
42 |
18065 |
RECEPTOR PARA TV DIGITAL |
Ocioso |
|
43 |
18069 |
RECEPTOR PARA TV DIGITAL |
Ocioso |
|
44 |
18089 |
RECEPTOR PARA TV DIGITAL |
Ocioso |
|
45 |
18093 |
RECEPTOR PARA TV DIGITAL |
Ocioso |
|
46 |
18095 |
RECEPTOR PARA TV DIGITAL |
Ocioso |
|
47 |
18101 |
RECEPTOR PARA TV DIGITAL |
Ocioso |
|
48 |
18103 |
RECEPTOR PARA TV DIGITAL |
Ocioso |
|
49 |
18253 |
POLTRONA GIRATORIA EM TECIDO ESPALDAR ALTO |
Ocioso |
|
50 |
18416 |
GRAVADOR DIGITAL |
Ocioso |
|
51 |
18417 |
GRAVADOR DIGITAL |
Ocioso |
|
52 |
18422 |
FONE DE OUVIDO |
Ocioso |
|
53 |
18426 |
FONE DE OUVIDO |
Ocioso |
|
54 |
18429 |
FONE DE OUVIDO |
Ocioso |
|
55 |
18433 |
FONE DE OUVIDO |
Ocioso |
|
56 |
18436 |
FONE DE OUVIDO |
Ocioso |
|
57 |
18437 |
FONE DE OUVIDO |
Ocioso |
|
58 |
18440 |
FONE DE OUVIDO |
Ocioso |
|
59 |
18441 |
FONE DE OUVIDO |
Ocioso |
|
60 |
18446 |
FONE DE OUVIDO |
Ocioso |
|
61 |
18448 |
FONE DE OUVIDO |
Ocioso |
|
62 |
18455 |
FONE DE OUVIDO |
Ocioso |
|
63 |
18456 |
FONE DE OUVIDO |
Ocioso |
|
64 |
18463 |
FONE DE OUVIDO |
Ocioso |
|
65 |
18470 |
FONE DE OUVIDO |
Ocioso |
|
66 |
18560 |
ARMÁRIO BAIXO |
Ocioso |
|
67 |
18561 |
ARMÁRIO BAIXO |
Ocioso |
|
68 |
18567 |
ARMÁRIO ALTO EM MDF |
Ocioso |
|
69 |
18568 |
ARMÁRIO ALTO EM MDF |
Ocioso |
|
70 |
18569 |
ARMÁRIO ALTO EM MDF |
Ocioso |
|
71 |
18574 |
ARMÁRIO ALTO EM MDF |
Ocioso |
|
72 |
18588 |
ARMÁRIO ALTO EM MDF |
Ocioso |
|
73 |
19127 |
FONE DE OUVIDO |
Ocioso |
|
74 |
19130 |
FONE DE OUVIDO |
Ocioso |
|
75 |
19269 |
GRAMPEADOR DE MESA SEMI-INDUSTRIAL |
Ocioso |
|
76 |
20645 |
AR CONDICIONADO , |
Ocioso |
|
77 |
21064 |
TABLET WIFI |
Ocioso |
|
78 |
21538 |
POLTRONA GIRATÓRIA EM COURVIN |
Ocioso |
|
79 |
21588 |
TABLET WIFI |
Ocioso |
|
80 |
21592 |
TABLET WIFI |
Ocioso |
|
81 |
21664 |
UNIDADE DE WORKSTATION |
Ocioso |
|
82 |
21666 |
UNIDADE DE WORKSTATION |
Ocioso |
|
83 |
21792 |
SCANNER DE MESA |
Ocioso |
|
84 |
21805 |
SCANNER DE MESA |
Ocioso |
|
85 |
21810 |
SCANNER DE MESA |
Ocioso |
|
86 |
21813 |
SCANNER DE MESA |
Ocioso |
|
87 |
22681 |
ARMÁRIO ALTO |
Ocioso |
|
88 |
22682 |
ARMÁRIO ALTO |
Ocioso |
|
89 |
22683 |
ARMÁRIO ALTO |
Ocioso |
|
90 |
22929 |
MAQUINA PARA FAZER CAFE EXPRESSO |
Ocioso |
|
91 |
23632 |
POLTRONA GIRATÓRIA ESPALDAR MÉDIO |
Ocioso |
|
92 |
23642 |
POLTRONA GIRATÓRIA ESPALDAR MÉDIO |
Ocioso |
|
93 |
23649 |
POLTRONA GIRATÓRIA ESPALDAR MÉDIO |
Ocioso |
|
94 |
24094 |
AR CONDICIONADO DE PAREDE 18.000 BTU S |
Ocioso |
|
95 |
24160 |
POLTRONA GIRATÓRIA EM COURVIN |
Ocioso |
|
96 |
24178 |
POLTRONA GIRATÓRIA EM COURVIN |
Ocioso |
|
97 |
24229 |
CADEIRA GIRATÓRIA ESPALDAR MÉDIO |
Ocioso |
|
98 |
24352 |
EQUIPAMENTO TAPE LIBRARY |
Ocioso |
|
99 |
25126 |
CAFETEIRA |
Ocioso |
|
100 |
25273 |
QUADRO BRANCO |
Ocioso |
|
101 |
29300 |
HEADSET MARCA MICROSOFT MODELO LX 3000 |
Ocioso |
|
102 |
29575 |
HEADSET FONE DE OUVIDO COM MICROFONE MARCA MICROSOFT MODELO LX-3000 MOD. LX-3000 |
Ocioso |
|
103 |
29722 |
KIT WEBCONFERÊNCIA |
Ocioso |
|
104 |
29740 |
KIT WEBCONFERÊNCIA |
Ocioso |
|
105 |
29979 |
HEADSET USB MICROSOFT LIFECAT LX3000 |
Ocioso |
|
106 |
30051 |
HEADSET |
Ocioso |
|
107 |
30052 |
HEADSET |
Ocioso |
|
108 |
30053 |
HEADSET |
Ocioso |
|
109 |
30054 |
HEADSET |
Ocioso |
|
110 |
30055 |
HEADSET |
Ocioso |
|
111 |
30232 |
SOFÁ 03 LUGARES |
Ocioso |
|
112 |
30270 |
CAFETEIRA PARA CAFÉ EXPRESSO |
Ocioso |
|
113 |
30281 |
HEADSET USB, MARCA MICROSOFT, MODELO LIFE CHAT LX-3000 |
Ocioso |
|
114 |
30469 |
POLTRONA GIRATÓRIA COM BRAÇOS |
Ocioso |
|
115 |
30556 |
POLTRONA GIRATÓRIA COM BRAÇOS |
Ocioso |
|
116 |
30991 |
POLTRONA GIRATÓRIA COM BRAÇOS E ESPALDAR MÉDIO NA COR PRETA |
Ocioso |
|
117 |
31025 |
POLTRONA GIRATÓRIA COM BRAÇOS |
Ocioso |
|
118 |
31108 |
CADEIRA FIXA |
Ocioso |
|
119 |
31109 |
CADEIRA FIXA |
Ocioso |
|
120 |
31138 |
CADEIRA FIXA |
Ocioso |
|
121 |
31177 |
CADEIRA FIXA |
Ocioso |
|
122 |
33310 |
MÁQUINA DE GELO |
Ocioso |
|
123 |
33313 |
MAQUINA PARA FAZER CAFE EXPRESSO |
Ocioso |
|
124 |
33314 |
MAQUINA PARA FAZER CAFE EXPRESSO |
Ocioso |
|
125 |
33315 |
MAQUINA PARA FAZER CAFE EXPRESSO |
Ocioso |
|
126 |
35380 |
CADEIRA C/ ESPALDAR MEDIO REGULAVEL |
Ocioso |
|
127 |
46550 |
Headset USB LOGITECH. |
Ocioso |
|
128 |
52227 |
HEADSET USB LOGITECH. |
Ocioso |
|
129 |
54882 |
"TABLET 10.1"" MARCA HP ELITEPAD 900 TABLET PC - 2014NS000104" |
Ocioso |
|
130 |
54883 |
DOCK STATION MARCA HP PARA SER USADA COM O TABLET 10.1"" HP ELITEPAD 900 |
Ocioso |
|
131 |
101494 |
LIVROS DE ASSUNTOS VARIADOS |
Ocioso |
|
132 |
109988 |
CURSO DE DIREITO CONSTITUCIONAL POSITIVO |
Ocioso |
|
133 |
110001 |
CURSO DE DIREITO CONSTITUCIONAL POSITIVO |
Ocioso |
|
134 |
110015 |
CURSO DE DIREITO CONSTITUCIONAL POSITIVO |
Ocioso |
|
135 |
110060 |
CURSO DE DIREITO PROCESSUAL DO TRABALHO |
Ocioso |
|
136 |
110063 |
CURSO DE DIREITO PROCESSUAL DO TRABALHO |
Ocioso |
|
137 |
110072 |
CURSO DE DIREITO PROCESSUAL DO TRABALHO |
Ocioso |
|
138 |
110085 |
CURSO DE DIREITO PROCESSUAL DO TRABALHO |
Ocioso |
|
139 |
110091 |
CURSO DE DIREITO PROCESSUAL DO TRABALHO |
Ocioso |
|
140 |
110132 |
CONSTITUIÇÃO DA REPÚBLICA FEDERATIVA DO BRASIL |
Ocioso |
|
141 |
110151 |
CONSTITUIÇÃO DA REPÚBLICA FEDERATIVA DO BRASIL |
Ocioso |
|
142 |
110168 |
CÓDIGO CIVIL E LEGISLAÇÃO CIVIL EM VIGOR |
Ocioso |
|
143 |
110171 |
CÓDIGO CIVIL E LEGISLAÇÃO CIVIL EM VIGOR |
Ocioso |
|
144 |
110199 |
CÓDIGO CIVIL E LEGISLAÇÃO CIVIL EM VIGOR |
Ocioso |
|
145 |
110240 |
VADE MECUM |
Ocioso |
|
146 |
110267 |
VADE MECUM |
Ocioso |
|
147 |
111740 |
CONSTITUIÇÃO DA REPÚBLICA FEDERATIVA DO BRASIL |
Ocioso |
|
148 |
111741 |
CÓDIGO CIVIL |
Ocioso |
|
149 |
111745 |
CÓDIGO CIVIL |
Ocioso |
|
150 |
111747 |
CÓDIGO CIVIL |
Ocioso |
|
151 |
111757 |
VADE MECUM 2016 |
Ocioso |
|
152 |
111758 |
VADE MECUM 2016 |
Ocioso |
|
Quantidade de Patrimônios: 152 |
|||
|
LOTE 3 |
|||
|
nº |
Patrimônio |
Bens |
estado |
|
1 |
66912 |
AUTOMÓVEL PICK-UP MITSUBISHI |
Ocioso |
|
Quantidade de Patrimônios: 1 |
|||
|
LOTE 4 |
|||
|
nº |
Patrimônio |
Bens |
estado |
|
1 |
69692 |
FURGÃO RENAULT MASTER |
Ocioso |
|
Quantidade de Patrimônios: 1 |
|||
|
nº |
Item |
Quantidade |
Classificação |
|
1 |
PAPEL VEGETAL PARA PLOTTER, MED. 914MM X 45,7M |
02 bobinas |
Ocioso |
|
2 |
PERFURADOR DE PAPEL COM 04 (QUATRO) FUROS |
02 unidades |
Ocioso |
|
3 |
REFORÇO AUTO-ADESIVO PARA FUROS |
01 caixa |
Ocioso |
|
4 |
FITA DE IMPRESSÃO EM PRETO, PADRÃO K, COMPATÍVEL COM IMPRESSORA DE CARTÕES "ZEBRA" P430I |
02 unidades |
Ocioso |
|
5 |
KIT DE LIMPEZA ZEBRA PARA IMPRESSORA ZXP SERIE 3 |
02 unidades |
Ocioso |
|
6 |
KIT LIMPEZA 105912G-912, COM 4 CARTÕES CURTOS E 4 CARTÕES LONGOS, MODELO 105999-302 |
01 unidade |
Ocioso |
|
7 |
KIT ROLETE DE LIMPEZA PARA IMPRESSORA ZEBRA MODELO P430I, CONTENDO 05 UNIDADES |
02 kits |
Ocioso |
|
8 |
COPO PLASTICO DESCARTAVEL, PARA CAFE, COM CAPACIDADE PARA 50 ML |
89 centos |
Ocioso |
|
9 |
DISPENSADOR EM ACRÍLICO PARA COPOS DESCARTÁVEIS DE 50 ML |
07 unidades |
Ocioso |
|
Quantidade de materiais: 9 itens |
|||
|
LOTE 06 -Material de Consumo utilizado sem condição de aproveitamento |
||
|
Nº |
Item |
Quantidade |
|
1 |
FORMULÁRIO DE SOLICITAÇÃO DE REEMBOLSO |
27 blocos |
|
2 |
BATERIA ALCALINA 9V, NÃO RECARREGÁVEL |
01 unidade |
|
3 |
PILHA ALCALINA, TAMANHO PEQUENO AA |
02 unidades |
|
4 |
LUVA PARA PROCEDIMENTO NÃO CIRURGICO, TAM: G (GRANDE), CX COM 100 UNIDADES |
28 caixas |
|
5 |
LUVA PARA PROCEDIMENTO NÃO CIRURGICO, TAM: M (MÉDIO), CX. C/ 100 UN., EM LÁTEX NATURAL DESCARTAVÉL,ATOXICA, ANATÔMICO, RESISTENTE A TRAÇÃO |
36 caixas |
|
6 |
MÁSCARA DESCARTÁVEL N95, COM CLIP NASAL, COM 2 TIRAS DE ELÁSTICO PARA FIXAÇÃO |
263 unidades |
Tabela com os valores brutos e líquidos dos materiais relacionados para desfazimento:
-
LOTES
QUANTIDADE
DE ITENSVALOR
BRUTODEP.
ACUMULADAVALOR
LÍQUIDO1
127
184.047,77
159.429,07
24.618,70
2
152
262.733,57
230.832,52
31.901,05
3
1
8.900,00
578,5
8.321,50
4
1
6.550,00
294,75
6.255,25
TOTAL
281
462.231,34
391.134,84
71.096,50
Além dos bens patrimoniais, constaram 15 (quinze) itens relativos ao estoque do almoxarifado no valor total de R$ 5.440,19 (cinco mil, quatrocentos e quarenta reais e dezenove centavos):
-
LOTES
QUANTIDADE
VALOR
5
9
2.358,19
6
6
3.082,00
TOTAL
15
5.440,19
O trabalho da Comissão resultou no edital de desfazimento nº 01/2025, publicado em 23 de outubro de 2025 e republicado em 18 de novembro de 2025, visto o baixo número de interessados nos lotes do desfazimento.
Manifestaram interesse nos lotes de materiais disponíveis para desfazimento, as instituições abaixo:
-
MANIFESTAÇÃO DE INTERESSE
DIA
HORA
ÓRGÃO/INSTITUIÇÃO/ENTIDADE
23/10/2025
15:35
ORGANIZAÇÃO VIDA VIVA
23/10/2025
15:48
COMUNIDADE TERAPEUTICA PARA VENCER (DESCLASSIFICADA)
23/10/2025
16:03
MOVIMENTO POPULAR DO ARAPOANGA PELA CIDADANIA
23/10/2025
17:23
BRASIL POSITIVO (DESCLASSIFICADA)
23/10/2025
20:05
CENTRO ESPORTIVO CULTURAL DE PLANALTINA
02/11/2025
15:17
ORGANIZAÇÃO ASSISTENCIAL AMOR SEM FRONTEIRA
07/11/2025
15:33
UNIVERSIDADE FEDERAL DE CATALÃO
19/11/2025
16:49
CÂMARA MUNICIPAL DE ALEXÂNIA
Como resultado do trabalho da Comissão, considerando a ordem de preferência, a regularidade da documentação e os critérios de desempate previstos no Edital, as instituições classificadas foram:
-
ÓRGÃO/INSTITUIÇÃO
LOTES
UNIVERSIDADE FEDERAL DE CATALÃO
LOTES 1 e 3
CÂMARA MUNICIPAL DE ALEXÂNIA
LOTE 4
ORGANIZAÇÃO VIDA VIVA
LOTE 2 e 5
Conforme os termos do artigo 8º do Decreto nº 9.373/2018 e da Portaria PGT nº 1542.202, considerando a forma prevista na legislação para o desfazimento de bens, concluiu-se pela doação dos bens ociosos, aos contemplados, ressaltando-se que os bens do Lote nº 6, foram classificados como irrecuperáveis.
Os Lotes 1, 2 e 5 foram entregues às instituições.
Os Lotes 3 e 4 ainda estão em fase de entrega.
Gestão do patrimônio imobiliário da União
-
ABNT NBR9050/2020 – Acessibilidade a edificações, mobiliário, espaços e equipamentos urbanos;.
-
ABNT NBR 16537 – Acessibilidade, Sinalização tátil no piso – Diretrizes para elaboração de projetos e instalação;
-
Lei Federal n° 13.146/15, Lei Brasileira de Inclusão da Pessoa com Deficiência (Estatuto da Pessoa com Deficiência); acessível em: https://www.planalto.gov.br/ccivil_03/_ato2015-2018/2015/lei/l13146.htm;
-
Decreto Federal – nº 5296/04, regulamenta as Leis n°s 10.048, de 8 de novembro de 2000, que dá prioridade de atendimento às pessoas que especifica, e 10.098, de 19 de dezembro de 2000, que estabelece normas gerais e critérios básicos para a promoção da acessibilidade; acessível em: https://www.planalto.gov.br/ccivil_03/_ato2004-2006/2004/decreto/d5296.htm;
-
Lei Federal 10.098/00, que estabelece normas gerais e critérios básicos para a promoção da acessibilidade; Acessível em: https://www.planalto.gov.br/ccivil_03/leis/l10098.htm;
-
Resolução nº 965/22 do Contran; acessível em: https://www.gov.br/transportes/pt-br/assuntos/transito/conteudo-contran/resolucoes/Resolucao9652022.pdf;
-
ABNT NBR 9077 – Saídas de emergência em edifícios;
-
ABNT NBR 14718 – Guarda-corpos para edificação;
-
ABNT NBR NM 313 – Elevadores de passageiros ‒ Requisitos de segurança para construção e instalação ‒ Requisitos particulares para a acessibilidade das pessoas, incluindo pessoas com deficiência;
-
Instrução Técnica nº 11/2004 – Saídas de Emergência (Corpo de Bombeiros); acessível em: https://segurancacontraincendio.cbm.df.gov.br/wp-content/uploads/2021/11/NT-10-Saidas-de-Emergencia.pdf;
-
Lei nº 14.133/2021 – Lei geral de licitações e contratos.; acessível em: https://www.planalto.gov.br/ccivil_03/_ato2019-2022/2021/lei/l14133.htm;
-
Resolução 81/2012 CNMP; acessível em: https://www.cnmp.mp.br/portal/images/Resolucoes/Resolu%C3%A7%C3%A3o-0812.pdf;
-
NBR 16.280/2015 – Reforma em Edificações;
-
NBR 13532/1995 – Elaboração de projetos de edificações – Arquitetura;
-
NBR 6492/2021 – Representação de projetos de Arquitetura;
Mecanismo de Controle e Prevenção
Para garantir a conformidade e mitigar riscos, a DAE utiliza mecanismos de controle internos robustos, como o desenvolvimento do aplicativo Domus (Dados de Ocupação e Mapeamento de Unidades do MPT), considerado um dos principais avanços recentes.
Desenvolvido internamente em parceria com servidores de outras áreas do MPT, o Domus é uma ferramenta estratégica para aprimorar a gestão patrimonial e o planejamento de obras. A plataforma, desenvolvida em Power Apps, permite categorizar e catalogar todas as unidades do MPT de forma dinâmica. A iniciativa visa centralizar as informações imobiliárias e viabilizar o preenchimento da avaliação MPU indicada no Ofício Circular nº 415/2024/SG da Secretária-Geral do MPU, que trata dos critérios para a priorização de demandas de construções, aquisições e reformas no âmbito do Ministério Público da União.
O aplicativo, que tem previsão de finalização no primeiro semestre de 2026, representa uma inovação significativa, agregando valor organizacional ao fornecer uma base de dados unificada para a tomada de decisão estratégica em infraestrutura.
Contratações/Investimentos mais relevantes
O ano de 2025 foi marcado por investimentos estratégicos na infraestrutura do MPT, visando a modernização, a sustentabilidade e a melhoria das condições de trabalho. As ações abrangeram desde a inauguração de novas sedes até a implementação de projetos de eficiência energética e a reestruturação dos contratos de manutenção predial.
Renovação e conservação imobiliária
Inaugurações
-
Nova sede da Procuradoria do Trabalho no Município (PTM) de Araraquara;
-
Nova sede da PTM de São José dos Campos.
Projetos e locações
-
Aprovação do Projeto Legal para a reforma da PTM de Araçatuba;
-
Locação de uma nova sede para a PTM de Araçatuba, viabilizando a continuidade dos serviços durante o período de obras;
-
Projeto de reforma da PTM de Chapecó/SC;
-
Projeto de Reforma de Presidente Prudente/SP.
Modernização de sistemas
-
Retrofit dos aparelhos de ar-condicionado da PTM de Caxias do Sul;
-
Retrofit do sistema VRF de ar-condicionado da PRT 07.
Reformas em andamento
-
Reforma da PTM de Macapá (PRT-08);
-
Reforma do telhado da PTM de Santarém (PRT-08);
-
Reforma da cobertura da PRT 08 em Belém;
-
Reforma da PTM de Maringá (PRT-09).
Desmobilizações relevantes
-
Como parte de um processo de reavaliação estratégica e otimização de recursos, as sedes das PTMs de Foz do Iguaçu, Campo Mourão e Pato Branco foram desativadas. A unidade de Foz do Iguaçu, incluindo sua usina fotovoltaica, foi cedida ao Ministério Público Federal (MPF).
Energia fotovoltaica: sustentabilidade e retorno financeiro
Em linha com os objetivos de sustentabilidade e eficiência no uso de recursos públicos, o MPT continuou a investir e a gerir seu parque de geração de energia fotovoltaica. O ano de 2025 representou a consolidação operacional do projeto, permitindo uma análise aprofundada do desempenho e do retorno do investimento.
No total, o parque gerador produziu aproximadamente 1,6 GWh de energia limpa em 2025, resultando em uma economia de aproximadamente R$ 1,1 milhão aos cofres públicos. Com a normalização das usinas que ainda não iniciaram a operação (Eunápolis/BA, Feira de Santana/BA e Vitória da Conquista/BA) e outros ajustes operacionais, a projeção de economia anual recorrente sobe para R$ 1,25 milhão.
O custo-benefício do projeto é evidente. O valor médio economizado foi de R$ 0,69 por kWh, e o tempo de retorno do investimento (payback) está estimado em 5,25 anos. Após esse período, o projeto garantirá mais de duas décadas de energia gratuita para a instituição, um benefício direto e de longo prazo.
A tabela abaixo classifica o desempenho das usinas em operação, com base na geração anual específica (kWh/kWp):
|
Classificação |
Desempenho (kWh/kWp) |
Unidades |
|
Ótima |
> 1.300 |
PTM Dourados/MS, Sede Campo Grande/MS, PTM Ji-Paraná/RO, PTM Ribeirão Preto/SP, PTM Juazeiro/CE, PTM Uberlândia/MG, Sede Natal/RN, Sede Goiânia/GO |
|
Boa |
1.000 a 1.300 |
Sede Recife/PE, PTM Coronel Fabriciano/MG, PTM Barreiras/BA, PTM Petrolina/PE, PTM Pouso Alegre/MG, PTM Bauru/SP, PTM Rio Branco/AC, PTM Bom Jesus/PI, PTM Cascavel/PR |
|
Aceitável |
700 a 1.000 |
Sede Belém/PA, PTM Araguaína/TO, Sede Teresina/PI, Sede Aracaju/SE, PTM Divinópolis/MG, PTM Foz do Iguaçu/PR, Sede Salvador/BA (Casarão), Sede Manaus/AM, Sede Salvador/BA (Sousa Lima), Sede Porto Velho/RO |
|
Atenção |
< 700 |
PTM Picos/PI, PTM Santo Antônio de Jesus/BA |
As unidades com desempenho classificado como “atenção” estão recebendo investigação técnica para a correção de falhas e otimização da geração.
Diagnóstico e gestão dos contratos de manutenção
Uma gestão eficiente dos contratos de manutenção predial é fundamental para a conservação do patrimônio e a garantia de ambientes de trabalho seguros e funcionais. Em 2025, diagnóstico detalhado dos contratos de manutenção em todas as Procuradorias Regionais do Trabalho (PRTs) revelou importantes informações sobre o modelo de contratação e a distribuição dos investimentos.
O levantamento mapeou a predominância de dois regimes de execução: preço global e preço unitário. A distribuição entre as regionais pode ser observada na tabela abaixo:
|
Regime de execução |
Quantidade de regionais |
|
Preço global |
14 |
|
Preço unitário |
5 |
|
Sem contrato vigente |
1 |
Uma análise crítica dos gastos executados entre 2022 e 2024 revelou um desequilíbrio significativo entre a manutenção preventiva e a corretiva em diversas unidades. O alto custo com manutenções corretivas, em muitos casos, aponta para uma possível falha no planejamento ou na execução da manutenção preventiva, gerando despesas emergenciais e de maior custo.
A manutenção preditiva, uma abordagem proativa que utiliza dados para prever falhas, ainda é pouco explorada, sendo aplicada de forma mais consistente em poucas unidades, como a PRT-02 e a PRT-07. A ampliação dessa prática representa uma oportunidade de otimização de custos e aumento da vida útil dos equipamentos e instalações
Acessibilidade
O compromisso com a inclusão é um valor fundamental para o MPT. Em 2025, a DAE aprofundou o Diagnóstico de Acessibilidade iniciado no ano anterior, identificando os casos mais críticos de inadequação às normas vigentes (ABNT NBR 9050) nos imóveis da instituição. Essa análise orientou a priorização de reformas, adaptações e, em casos mais complexos, a busca por novas sedes.
A DAE atuou ativamente na Comissão de Acessibilidade do MPT (Portaria PGT nº 965.2024) e na Equipe Multiprofissional (Portaria nº 1123.2025), prestando assistência técnica na avaliação de medidas para garantir o pleno acesso e desempenho de membros, servidores e do público externo com deficiência ou mobilidade reduzida.
Com o objetivo de aprimorar as condições de trabalho na Procuradoria-Geral do Trabalho (PGT), diversos projetos de arquitetura e layout foram desenvolvidos e acompanhados. As intervenções foram pautadas por normas técnicas de ergonomia e acessibilidade, buscando criar ambientes mais funcionais, seguros e adequados às necessidades de terceirizados, servidores e membros.
Apoio às Procuradorias Regionais do Trabalho
A DAE prestou assistência técnica contínua às Regionais que não possuem corpo técnico próprio, elaborando estudos preliminares e projetos de arquitetura para subsidiar futuras contratações de projetos executivos e obras. Esse suporte foi essencial para garantir que as intervenções nas PTMs atendessem plenamente às necessidades dos usuários e aos padrões de qualidade e segurança estabelecidos pela instituição.
Principais desafios e ações futuras
A gestão de 2025, apesar dos avanços significativos, também teve desafios importantes que exigem atenção estratégica. A identificação desses pontos críticos é fundamental para orientar as ações futuras e o planejamento da DAE, visando a melhoria contínua e o alinhamento com os objetivos do MPT.
- Principais desafios identificados
Desequilíbrio na gestão de manutenção: o diagnóstico dos contratos de manutenção predial apontou para um desequilíbrio entre os investimentos em manutenção preventiva e corretiva. O alto custo de ações corretivas em diversas unidades sugere falhas no planejamento e na execução preventiva, resultando em maiores despesas e menor previsibilidade orçamentária.
Otimização do Parque Fotovoltaico: embora o projeto de energia fotovoltaica apresente um balanço geral positivo, existem desafios a serem superados. Algumas usinas apresentaram desempenho abaixo do esperado, demandando investigação técnica. Além disso, três usinas ainda não entraram em operação, o que impede o alcance do pleno potencial de economia e geração de energia limpa do projeto. Somado a esses pontos, a manutenção contínua do sistema será um dos desafios centrais a serem superados. A gestão eficiente da manutenção – incluindo limpezas periódicas, vistorias elétricas e monitoramento constante – impactará diretamente na performance e na eficiência global do parque. Sem um plano de manutenção estruturado, o desgaste natural e fatores externos podem comprometer o rendimento dos equipamentos, adiando o retorno sobre o investimento e reduzindo a vida útil dos ativos.
Adequação de acessibilidade: o diagnóstico aprofundado de acessibilidade confirmou a existência de barreiras arquitetônicas em diversas unidades, que necessitam de intervenções para garantir a conformidade com a legislação e promover a inclusão plena de todas as pessoas.
- Ações futuras e metas
Com base nos desafios identificados, a DAE estabeleceu as seguintes ações e metas prioritárias para o próximo ciclo:
Reestruturar a gestão de manutenção
Meta: inverter a proporção de gastos, priorizando a manutenção preventiva em detrimento da corretiva.
Ações: revisar os modelos de contrato de manutenção; implementar indicadores de desempenho (KPIs) para monitorar a eficácia dos serviços; e desenvolver um plano de ação específico para as unidades com maiores custos corretivos.
Consolidar o projeto fotovoltaico
Meta: atingir a geração anual de 1.650 MWh e a economia projetada de R$ 1,25 milhão.
Ações: realizar as intervenções técnicas necessárias para corrigir as falhas nas usinas com baixo desempenho e concluir a instalação e comissionamento das usinas pendentes no primeiro semestre de 2025.
Plano de ação para acessibilidade
Meta: executar as adaptações de alta prioridade identificadas no diagnóstico de acessibilidade.
Ações: elaborar os projetos executivos e licitar as obras necessárias para as adequações, priorizando os casos mais críticos que impactam o atendimento ao público e as condições de trabalho de servidores com deficiência.
Plena operacionalização do aplicativo Domus
Meta: concluir o desenvolvimento e iniciar a fase de alimentação de dados do aplicativo Domus até o final do primeiro semestre de 2026.
Ações: finalizar o desenvolvimento das funcionalidades pendentes, treinar os responsáveis nas sedes regionais para a inserção e atualização contínua das informações e integrar o Domus aos processos de planejamento estratégico da DAE.
Durante o ano de 2025, a DAE contou com a seguinte estrutura diretiva: Marcelo Cortes Berquo (diretor de Arquitetura e Engenharia), Luis Fernando Rabello Galdino Taveira (chefe de Departamento de Engenharia) e Cynthia Bellocchio do Amaral (chefe de Departamento de Arquitetura).
O ano de 2025 foi um período de realizações e aprendizados para a Diretoria de Arquitetura e Engenharia. Os avanços na renovação de sedes, a consolidação do projeto de energia fotovoltaica e a modernização de layouts refletem o compromisso da DAE com a criação de uma infraestrutura moderna, sustentável e alinhada às necessidades da instituição.
A implementação de ferramentas de gestão inovadoras, como o aplicativo Domus, e a realização de diagnósticos aprofundados, como o levantamento dos contratos de manutenção, demonstram uma busca contínua pela eficiência, transparência e otimização do uso dos recursos públicos. Esses instrumentos foram essenciais para identificar os sucessos e também os desafios que nortearão as ações futuras.
Os desafios relacionados à gestão da manutenção e à plena operacionalização do parque fotovoltaico são prioridades claras para o próximo ciclo. As metas estabelecidas são ambiciosas, mas realistas, e visam aprimorar a governança, reduzir custos operacionais e reforçar o compromisso do MPT com a responsabilidade fiscal e socioambiental.
A DAE reafirma seu papel estratégico no apoio à atividade-fim do Ministério Público do Trabalho, garantindo que a infraestrutura da instituição seja um pilar sólido para o cumprimento de sua missão perante a sociedade
Gestão do patrimônio mobiliário
Conformidade legal
Em relação à conformidade legal, os ditames que regem as aquisições e gestão de bens e materiais, especialmente as previsões contidas, de forma não exaustiva, nos normativos abaixo relacionados, são observados:
-
Pareceres e Orientações da Auditoria Interna do MPU – AUDIN-MPU e do Tribunal de Contas da União – TCU.
Desfazimento de ativos
|
Desfazimento de ativos |
|||
|
Número do processo |
Principais bens desfeitos |
Qual o valor total do desfazimento? |
Para onde os bens formam doados? (instituição) |
|
20.02.0001.0003652/2025-39 Em fase de entrega dos bens e materiais aos destinatários. |
Mobiliário em geral (123110303) e Veículos (123110503). |
Valor Líquido: R$ 71.096,50 Valor Bruto: 462.231,34 |
Universidade Federal de Catalão; Câmara Municipal de Alexânia; Organização Vida Viva. |
Principais desafios e ações futuras
Principais desafios
|
Desafios |
Ações futuras |
|
Alocação e adequação de recursos financeiros para capacitação e incentivo à participação dos servidores. |
Cursos, eventos, promoção do engajamento. Viabilizar a oferta e realização de cursos, bem como promover, incentivar e garantir a participação do servidor de forma efetiva, implementando a sensação de pertencimento e o reconhecimento do resultado do trabalho. |
|
Romper com a realidade atual que conta com a utilização de sistemas não integrados e com funcionalidades incompatíveis com as necessidades, o que requer a utilização de métodos manuais e planilhas que não garantem a precisão, a rastreabilidade, a transparência e a gestão eficaz, embora existam soluções tecnológicas modernas disponíveis no mercado. A tecnologia atualmente empregada não proporciona agilidade na busca por bens e na realização de inventários, apresentando ineficiência na emissão de relatórios e aplicação de filtros. |
Aprimoramento e compatibilização do sistema de gestão, contemplando funcionalidades mais adequadas à gestão patrimonial como um todo, especialmente no que se refere às rotinas de inventário patrimonial. Busca pela utilização de ferramentas e práticas integradas de gestão patrimonial, com foco na qualidade e produtividade. Implementação de formas mais ágeis e simplificadas, com maior foco nos resultados e não nos procedimentos, com investimento em capacitação e tecnologias. |
|
Manter atualizados os registros de movimentações patrimoniais. |
Dar efetividade à vedação de movimentações de bens sem o conhecimento do setor de patrimônio, conscientizando o usuário quanto à obrigatoriedade de comunicação prévia sobre todas as movimentações de bens, assim como em relação à possível responsabilização. |
Gestão da tecnologia da informação
Conformidade legal
|
Norma |
Descrição |
|
Relatório de Levantamento de Governança de TI na Administração Pública Federal. Desenvolver instrumentos de planejamento estratégico institucional e de tecnologia da informação |
|
|
Relatório de auditoria do TCU. Avaliação de controles gerais de Tecnologia da Informação. |
|
|
Dispõe sobre o Sistema de Administração dos Recursos de Tecnologia da Informação (SISP) do Poder Executivo federal. |
|
|
Regulamenta, no âmbito da Administração Pública Federal, o reaproveitamento, a movimentação, a alienação e outras formas de desfazimento de material. |
|
|
Dispõe sobre mecanismos para promoção da circularidade de bens móveis, no âmbito da administração pública federal direta, autárquica e fundacional. |
|
|
Dispõe sobre a organização da Administração Federal, estabelece diretrizes para a Reforma Administrativa e dá outras providências; |
|
|
Dispõe do uso do pregão para aquisição de bens e serviços de tecnologia da Informação. |
|
|
Lei do software |
|
|
Tipificação criminal de delitos informáticos |
|
|
Marco Civil da Internet |
|
|
Lei Geral de Proteção de Dados (LGPD) |
|
|
Política Nacional de Proteção de Dados Pessoais e o Sistema Nacional de Proteção de Dados Pessoais no Ministério Público |
|
|
Institui a Política Nacional de Tecnologia da Informação do Ministério Público (PNTI-MP) |
|
|
Disciplina, no âmbito do Ministério Público Brasileiro, procedimentos relativos à contratação de soluções de tecnologia da informação. |
|
|
Norma que institui o Comitê Estratégico de Tecnologia da Informação no âmbito do Ministério Público conforme diretriz publicada. |
|
|
Dispõe sobre a criação da Estratégia Nacional do Ministério Público Digital (MP Digital). |
|
|
Disciplina, no âmbito do Ministério Público, os procedimentos relativos à contratação de soluções de tecnologia da informação. |
|
|
Institui a Política Nacional de Cibersegurança do Ministério Público (PNCiber-MP) e dá outras providências. |
Modelo de governança de TI
O modelo de Governança de TI está definido dentro do contexto do Sistema Integrado de Governança e Gestão Estratégica (SIGGE) do Ministério Público do Trabalho, instituído pela Portaria nº 739, de 5 de dezembro de 2016, do procurador-geral do Trabalho, do qual faz parte o Comitê Estratégico de Tecnologia da Informação que tem natureza consultiva, propositiva e deliberativa pertinente às políticas, às diretrizes, ao planejamento e às ações de governança corporativa de tecnologia da informação.
Os principais artefatos do modelo de governança de tecnologia da informação do MPT são o Planejamento Estratégico de TI (Peti) e o Plano Diretor Nacional de Tecnologia da Informação (PDNTI).
O Planejamento Estratégico de TI (Peti) do Ministério Público do Trabalho, para o período de 2021-2025, foi aprovado consoante Resolução Ceti n.º 9/2016 e submetido ao procurador-geral do Trabalho em 17/01/2021.
Dentro do contexto da governança corporativa, os objetivos estratégicos do Peti/MPT estão organizados nas perspectivas de valor ao MPT, do cliente interno, dos processos internos e de crescimento, detalhadas no quadro a seguir:
Segundo a Resolução CNMP nº 171/2017, o “Plano Diretor de Tecnologia da Informação (PDTI) é um desdobramento do Peti e conterá as ações que visem ao alcance dos objetivos de contribuição definidos”. O PDNTI configura-se, portanto, como um documento estratégico de planejamento que orienta e norteia as ações do Plano Estratégico de Tecnologia da Informação do MPT (Peti) – 2020-2025, que surge como resposta às demandas crescentes por modernização, transparência, eficiência e inovação na gestão pública. Ao alinhar a estratégia de TIC com os objetivos institucionais do MPT, busca-se otimizar a utilização de recursos, promover a integração de sistemas, fortalecer a segurança da informação e fomentar a adoção de tecnologias emergentes.
Com a consolidação das necessidades provenientes das diversas áreas demandantes, o Plano Diretor Nacional de Tecnologia da Informação (PDNTI) do MPT, atualmente vigente, criou 91 iniciativas de TI, dentre as quais 49 foram priorizadas para o biênio 2024-2025.
Execução orçamentária TIC
Montante de recursos aplicados em TI
O montante de recursos empenhados em TI no Ministério Público do Trabalho para o exercício de 2025 foi de R$ 37.417.837,04, com distribuição e execução detalhadas conforme quadro a seguir – Alocação do orçamento de TI em 2025:
|
Unidade Gestora |
GND 3 |
GND 4 |
||
|
Empenhado |
Liquidado |
Empenhado |
Liquidado |
|
|
DA/PGT |
35.863.414,82 |
34.809.737,44 |
1.483.749,58 |
665.151,64 |
|
PRT 2 |
378,00 |
378,00 |
|
|
|
PRT 3 |
33.065,62 |
33.065,62 |
|
|
|
PRT 5 |
750,00 |
750,00 |
5.099,97 |
5.099,97 |
|
PRT 6 |
5.035,00 |
4.586,01 |
|
|
|
PRT 18 |
580,00 |
580,00 |
|
|
|
PRT 20 |
4.550,00 |
4.550,00 |
|
|
|
PRT 23 |
21.211,05 |
20.400,00 |
|
|
|
TOTAL |
35.928.984,49 |
34.874.047,07 |
1.488.849,55 |
|
Contratações mais relevantes de recursos de TIC
Em 2025, as aquisições conduzidas pela Setic tiveram como objetivo central assegurar a execução do Plano Nacional de Aquisições e Contratos de TI no MPT, preservando a continuidade dos serviços críticos, a modernização da infraestrutura e o fortalecimento da segurança. Em um contexto de investimento pressionado e ajustes orçamentários ao longo do exercício, a área priorizou contratações estruturantes, renovações essenciais e adequações táticas que permitissem mitigar riscos operacionais e manter aderência às diretrizes do PDNTI 2024–2025. Todo o ciclo foi amparado por estudos técnicos preliminares, termos de referência, mapas de risco e registros administrativos, garantindo rastreabilidade e transparência desde a fase de planejamento até o recebimento definitivo dos objetos.
A elaboração e revisão de artefatos de contratação, contratações e renovações de contratos estratégicos, termos de referência, estudos técnicos preliminares e mapas de riscos para diversas contratações, contratações e execuções contratuais estão entre as principais entregas realizadas em 2025, destacando-se as seguintes aquisições estratégicas:
-
MB.119 – Suporte Oracle: viabilizar a renovação de serviços de manutenção, suporte técnico e atualização de versões para os softwares Oracle Database Enterprise Edition, Oracle Real Application Clusters e Oracle Standard Edition One, banco de dados com dados utilizados por sistemas como MPT Digital Finalístico e MPT Digital Administrativo, Cosmos, Grifo, Orion e diversos outros.
-
AT.55b – Consumíveis de impressoras: aquisição de suprimentos de impressoras de pequeno porte e de impressoras portáteis utilizadas pelas unidades do Ministério Público do Trabalho.
-
MB.121 – Renovação do suporte F5: a solução F5 é atualmente utilizada na publicação dos principais serviços e sistemas do MPT com mecanismos de balanceamento de carga de tráfego, além de ser uma das principais ferramentas de acesso externo aos sistemas para usuários em trabalho remoto. O suporte vigente encerra-se em dezembro, sendo necessária nova contratação para mitigação de riscos de indisponibilidade e comprometimento dos serviços dependentes da solução.
-
MB.120 – Subscrições MySQL: contratação de subscrições MYSQL Enterprise, sistema de gerenciamento de banco de dados utilizado pelos sistemas Cosmos, MPT Digital Administrativo e em implantação pelo MPT Digital Finalístico.
-
MB.122 – Serviços de suporte para equipamentos de datacenter: contratação de serviços de suporte para equipamentos do datacenter primário – Storages e Tapes Libraries e dos storages em uso pelas regionais, equipamentos essenciais para o armazenamento de dados dos sistemas do MPT, sendo necessário mantê-los sob cobertura de suporte ativa para minimizar riscos de indisponibilidade.
-
PC.80 – API Whatsapp: contratação, de forma corporativa e com abrangência nacional, da plataforma WhatsApp for Business, acionada por meio de APIs que podem ser vinculadas a sistemas internos do órgão, visando primariamente o atendimento da Resolução Nº 199 do CNMP, que trata do uso de aplicativos de mensagens instantâneas ou recursos tecnológicos similares para comunicação de atos processuais. A utilização corporativa do WhatsApp for Business permitiria a integração nativa entre sistemas do MPT para, por exemplo, realizar expedições ou notificações de forma direta entre cada sistema e as partes. Eventuais respostas também podem ser incorporadas de forma automática aos sistemas, sem interferência manual. Também é possível a implementação de robôs de atendimento automatizado, acionados quando cidadãos encaminharem mensagens aos números mantidos pelo MPT. O aplicativo Whatsapp (Meta) é o software de mensageria mais utilizado no Brasil, segundo a Meta, empresa responsável pelo aplicativo, o Brasil conta com cerca de 197 milhões de usuários do WhatsApp. Outra pesquisa, realizada pela agência We Are Social, revela que cerca de 93,4% da população brasileira conta com uma conta no aplicativo de mensagens da Meta. Todos os artefatos necessários para viabilizar a contratação de empresa especializada no fornecimento de plataforma WhatsApp Business para permitir ao MPT se comunicar de forma personalizada, mais eficiente e em grande escala, foram cuidadosamente elaborados para dar suporte ao procedimento aquisitivo: o ETP (Estudo Técnico Preliminar), o Termo de Referência e o Mapa de Gestão de Riscos da Contratação. A aquisição foi finalizada e o objeto contratado, estando a plataforma disponível para utilização pelas equipes de desenvolvimento de sistemas e soluções do MPT.
-
DP.128 – Solução IGA (Gestão de Identidades): após a transformação digital, o MPT concentrou investimentos em segurança na proteção do perímetro da rede, mas reconhece que isso não é suficiente para garantir uma defesa cibernética robusta. Por isso, busca agora implantar uma solução moderna de Gestão de Identidades (IGA) integrada a ferramentas de predição e inteligência artificial, capaz de monitorar comportamentos e automatizar o ciclo de vida de acessos, reduzindo riscos, otimizando processos e garantindo conformidade. A demanda visa substituir o atual TDI, que está obsoleto e sem suporte, por uma solução IGA moderna.
-
DP.118 – Modernização de salas estratégicas da PGT: aquisição e instalação de câmeras robóticas de alta resolução para equipar a sala master e a sala de reuniões do CSMPT, para modernizar os sistemas audiovisuais da Procuradoria-Geral do Trabalho, substituindo equipamentos obsoletos e improvisados. O objetivo é dotar as principais salas de reuniões com tecnologia de captação de imagem de alta resolução, com operação remota, garantindo enquadramentos precisos e qualidade profissional para transmissões e registros institucionais. A medida atende à necessidade de atualização tecnológica, otimiza o uso de recursos existentes e eleva o padrão das transmissões e gravações do MPT.
Principais iniciativas (sistemas e projetos) e resultados na área de TI por cadeia de valor
A relação das iniciativas está organizada com os principais casos de negócios/projetos conduzidos em 2025:
Cosmos MPU
O Cosmos MPU é resultado de projeto iniciado em janeiro de 2022 com participação de integrantes dos quatro ramos e da ESMPU. Criado em 2016 pelo MPT, o Cosmos foi escolhido para ser o sistema padrão no MPU, pois é a ferramenta que melhor atende às demandas conjuntas da instituição nos temas orçamentário, financeiro e de planejamento.
Em 2025, o uso do sistema foi consolidado integralmente nos quatro ramos do MPU e na ESMPU, criando a plataforma para que toda a gestão orçamentária possa ser feita desde o início no sistema, a partir de 2026.
Além disso, também destacam se as seguintes evoluções ocorridas no ano:
-
Atualização tecnológica do frontend com a migração do Angular da versão 13 para a versão 20, com o intuito de minimizar falhas de segurança;
-
Substituição da exclusão física de dados pela exclusão lógica;
-
Aprimoramentos no módulo de Planejamento para atender necessidades dos ramos do MPU que usam o módulo via Cosmos MPU;
-
Aprimoramento da escrituração fiscal dos pagamentos realizados;
-
Aprimoramentos no módulo de Finanças;
-
Eliminação do tratamento de dados pessoais não essenciais para as atividades desenvolvidas;
-
Aprimoramentos no módulo de Orçamento para melhorar a exibição dos valores ajustados ao longo do exercício;
-
Criação de rotina de descarte de dados pessoais;
-
Implantação do login unificado do Cosmos MPU, permitindo que todos os usuários dos ramos e ESMPU pudessem acessar o sistema com suas credenciais do órgão de origem. Com o acesso unificado, o Cosmos MPU passou a estar disponível de forma ampla para MPF, MPM, MPDFT e ESMPU, fortalecendo a governança de identidade do MPU e democratizando o uso do sistema sem barreiras operacionais de autenticação. Isso criou base para colaboração técnica entre ramos e sustentação evolutiva do Cosmos em ciclos seguintes;
-
Preparação da infraestrutura multicloud para migração do sistema para o ambiente em nuvem.
Concurso para Procuradoras e Procuradores do Trabalho
O Sistema de Gestão do Concurso de Procuradoras e Procuradores do Trabalho é responsável por organizar e gerenciar todas as fases e informações necessárias, desde a inscrição dos candidatos até a finalização do certame.
Em 2025, o 23º concurso foi finalizado com a conclusão das etapas das provas prática, oral e de títulos. O suporte tecnológico para apoio à realização dessas etapas envolveu, além do acompanhamento técnico, a inserção de notas, processamento de resultados, publicação dos espelhos das provas e atendimento às demandas da Secretaria do Concurso.
Corregedoria
O Sistema de Gestão da Corregedoria foi criado para ser a principal ferramenta de apoio da Corregedoria na execução de atividades de acompanhamento do estágio probatório, do exercício de magistério, acompanhamento da residência fora da lotação, acesso a dados cadastrais de membros, gestão de correições ordinárias e extraordinárias e gestão de procedimentos disciplinares, de forma automatizada, integrada e centralizada.
Entre as principais entregas de 2025, destacam-se a conclusão da primeira versão do Módulo de Correição, com melhorias no cadastro e designação de avaliadores, e do Módulo de Residência, com ajustes no cadastro de processos. O módulo de Magistério foi migrado de Vue.js 2 para Angular, ampliando segurança e escalabilidade, e o módulo de Estágio Probatório iniciou sua migração para Angular, com funcionalidades de painel e cadastro já concluídas.
APIs foram criadas para consulta de procedimentos e conferência de partes envolvidas, além de adequações que permitem o envio de lotação ou setor como parte do procedimento, conforme o tipo de correição. Um token exclusivo para autenticação e consumo seguro dos serviços e um template específico de autuação para padronizar e classificar corretamente os processos relacionados à correição também foram implementados.
MPT Gestão e Projetos
O Sistema de Gestão e Projetos do Ministério Público do Trabalho (MPT) foi desenvolvido para atender demandas da Secretaria de Gestão Estratégica (SGE), proporcionando uma atuação institucional pautada em projetos.
No ano de 2025, foi dada continuidade na implementação do Módulo de Grupos de Atuação Especial Trabalhista (GAETS) e na integração com os sistemas internos do MPT.
Durante março a agosto de 2025, oito sprints de desenvolvimento que focaram majoritariamente, entre outras funcionalidades, no desenvolvimento do Relatório de Acompanhamento das iniciativas GAET foram realizados.
Implementação da Política Nacional de Equidade de Gênero
A Portaria nº 2110.2023 implementou a Política nacional de equidade de gênero, raça e diversidade no âmbito do Ministério Público do Trabalho (MPT), com a finalidade de estabelecer princípios, diretrizes e ações que favoreçam, assegurem e promovam a equidade de gênero, raça e diversidade a membras e membros, servidoras e servidores e, no que couber, a terceirizadas e terceirizados e a estagiárias e estagiários.
Em 2025, a integração com o sistema de gestão de pessoas Mentorh para importação das regras e nomenclaturas de padronização de flexão de gênero para exibição dos cargos ajustados nas assinaturas em documentos foi realizada no MPT Digital Finalístico.
MPT Digital Administrativo
O MPT Digital Administrativo é o sistema de Processo Administrativo Eletrônico (PAE) do Ministério Público do Trabalho. Foi concebido como uma plataforma abrangente para a administração eficiente e transparente dos procedimentos administrativos, oferecendo funcionalidades essenciais para a gestão de documentos ao longo de todo o ciclo de vida dos processos. Desde a protocolização inicial até a conclusão, o MPT Digital Administrativo proporciona recursos para o registro, tramitação, controle e arquivamento eletrônico de documentos, promovendo a agilidade, a integridade e a acessibilidade dos dados. Essa iniciativa não apenas moderniza os processos administrativos do MPT, mas também fortalece a capacidade institucional de lidar eficazmente com a documentação, contribuindo para uma gestão mais eficiente e alinhada com os padrões contemporâneos de governança.
Em 2025, o módulo de Gestão Documental, login gov.br, Acordo de Trabalho e Acompanhamento de Teletrabalho, além de diversas melhorias, como correções de segurança e atendimento às regras previstas na Lei Geral de Proteção de Dados (LGPD), foram desenvolvidos.
MPT Digital
O MPT Digital Finalístico e sistema Parquet geram benefícios à instituição, acelerando procedimentos investigatórios, fornecendo visão gerencial de ofícios e unidades administrativas, fornecendo dados para realização de políticas públicas e forças tarefas de atuação segmentada e com finalidade em grandes focos de irregularidades trabalhistas.
Em 2025, as seguintes entregas se destacam:
MPT Digital
-
Melhorias na distribuição da CCR por membro;
-
Mecanismo automático de sigilo por tipo de documento;
-
Novos tipos de documentos e ajustes no MNI;
-
Melhorias em agenda, pautas, geração de PDFs e logs;
-
Automatização de envio de dados de ações coletivas ao CNMP;
-
Preparação para painel de indicadores no Power BI;
-
Download de PDF único no Pele;
-
Melhorias de acessibilidade (inclusive modo noturno);
-
Ajustes LGPD com registro de logs;
-
Integração com sistema de destinações e novo módulo de registro;
-
Melhorias nos módulos extrajudicial, judicial e documentos;
-
Campo para amostragem estatística (eliminação de procedimentos);
-
Aprimoramentos no Gaia e painéis Power BI;
-
Implementações de segurança (SSL, ocultação de metadados, antivírus em anexos);
-
Adequação à Resolução CNMP 235/2025;
-
Comparador de avisos MNI/DJE;
-
Ferramenta de gestão documental e cálculo de guarda permanente;
-
Implantação versão 9.0 e ajustes diversos;
-
Atualização de SO, banco e PHP nos Peles.
Parquet
-
Entregas de usabilidade baseadas em sugestões do grupo de membros;
-
Criação de novos documentos de jurisprudência;
-
Inserção de relatórios inteligentes pela Spai;
-
Ajustes no aplicativo Jornada MPT;
-
Funcionalidades de compatibilidade com MPT Digital;
-
Inclusão de tabelas de compliance (RaioX, CATs, INSS, eSocial, Rais);
-
Ajustes para preenchimento do TADP;
-
Integração via API com sistema de correições;
-
Criação de índices no Elasticsearch e painéis no Kibana;
-
Aprimoramentos no GV5 e Compliance.
Além disso, o sistema operou, de forma eletrônica, em números arredondados:
-
7.5 milhões de documentos em sua base de dados, compondo os procedimentos eletrônicos, produzidos em 2025;
-
236 mil processos judiciais recebidos do Poder Judiciário em 2025;
-
808 mil documentos expedidos eletronicamente sem utilização de recursos do correio, em 2025;
-
383 mil peticionamentos realizados ao MPT de forma remota, em 2025;
-
39 mil advogados/partes cadastrados no sistema de peticionamento eletrônico aptos a peticionar a distância, em 2025;
-
2.1 milhões de documentos de partes e advogados recebidos, sem necessidade de comparecimento presencial, em 2025;
-
95.6 mil denúncias recebidas em todo o MPT via sistema de denúncias SUD, em 2025.
Gabinete Virtual 5.0
O Gabinete Virtual 5.0 é um novo modelo de gabinete digital que visa integrar, de forma simplificada, dados, informações, relatórios, plataformas e aplicações úteis à tomada de decisões em matéria de tutela coletiva; prover novas tecnologias de apoio a investigações e a ações de acompanhamento de políticas públicas, com a integração de avanços em matéria de inteligência de dados; promover a eficiência na gestão finalística de procedimentos, ofícios, unidades regionais e promoção de estratégias nacionais, mediante automação, redução de rotinas repetitivas e aprimoramento da ergonomia digital; fortalecer a unidade, a indivisibilidade e a independência funcional do Ministério Público do Trabalho por meio de novas tecnologias de gestão do conhecimento e da informação.
Entre as principais entregas destacam-se melhorias extensas de usabilidade e acessibilidade, recriação do retrato de ofício, novos tipos documentais (jurisprudência, relatórios e peças), compatibilizações com o MPT Digital e integração via API com o sistema de correições. Houve modernização técnica contínua (atualizações para Angular 17 a 20), criação de índices no Elasticsearch e painéis no Kibana para observabilidade e evolução do módulo Jornada MPT (estatísticas, relatórios e ajustes de dados). O produto incorporou dados de compliance (veículos, participações societárias, CAT, afastamentos INSS, eSocial, Rais) em um “novo Raio X”, criou webservices para disponibilização de TACs aos TRTs e habilitou múltiplas assinaturas e automações de envio ao MNI/PJe. Funcionalidades de geração assistida de teor com IA, alternância de modo de edição de documentos (modelo, arquivo ou IA), organização de rascunhos, filtros e pesquisas nacionais, além de MVP de integração com o Domicílio Eletrônico também foram entregues.
Os resultados práticos são maior celeridade investigatória, integração fluida com ecossistemas judiciais e administrativos, ganhos de desempenho e confiabilidade, ampliação da rastreabilidade e da governança de dados, e melhor experiência do usuário. Em síntese, Parquet + GV5 consolidou uma plataforma de atuação finalística mais inteligente, interoperável e orientada a evidências
Governança
- Modelo de governança de TI
O modelo de Governança de TI do Ministério Público do Trabalho está definido dentro do contexto do Sistema Integrado de Governança e Gestão Estratégica (Sigge), instituído pela Portaria nº 739, de 5 de dezembro de 2016, do procurador-geral do Trabalho. O Comitê Estratégico de Tecnologia da Informação (CETI) faz parte desse sistema. Ele possui natureza consultiva, propositiva e deliberativa pertinente às políticas, diretrizes, planejamento e ações de governança corporativa de tecnologia da informação.
Os principais artefatos do modelo de governança de tecnologia da informação do MPT são o Planejamento Estratégico de TI (Peti) e o Plano Diretor Nacional de Tecnologia da Informação (PDNTI).
Durante o exercício de 2025, o ciclo do Planejamento Estratégico de TI (Peti 2021-2025) foi concluído, aprovado consoante Resolução Ceti n.º 9/2016 e submetido ao procurador-geral do Trabalho em 17/01/2021. Com o encerramento do ciclo, o novo Plano Estratégico de Tecnologia da Informação para o período de 2026-2030, visando dar continuidade e aprofundar as diretrizes estratégicas de TIC em alinhamento com os objetivos institucionais do MPT e com as novas demandas de transformação digital, foi elaborado e submetido à apreciação do Ceti.
O PDNTI 2024-2025 orientou as ações de TIC ao longo do exercício, contemplando 91 iniciativas, das quais 49 foram priorizadas para o biênio. Segundo a Resolução CNMP nº 171/2017, o Plano Diretor de Tecnologia da Informação é um desdobramento do Peti e contém as ações que visam ao alcance dos objetivos de contribuição definidos no planejamento estratégico
Principais entregas normativas de governança em 2025
O exercício de 2025 consolidou avanços significativos em governança de TIC, com a aprovação de diversas políticas e normas pelo Ceti que estruturam a proteção da informação, a gestão de identidades, a continuidade de serviços e a cibersegurança institucional:
-
Política de Gerenciamento de Vulnerabilidades – Resolução Ceti nº 23: a Resolução Ceti nº 23 instituiu a Política de Gerenciamento de Vulnerabilidades, descrevendo o ciclo de identificação, classificação, priorização, correção e verificação de vulnerabilidades em ativos de TIC. A política estabelece fontes de inteligência, critérios de risco, prazos para tratamento conforme criticidade e mecanismos de validação pós-correção.
-
Inventário e Mapeamento de Ativos da Informação (Pimai) – Resolução CETI nº 24: a Resolução Ceti nº 24 formalizou o Pimai, definindo padrões de identificação, classificação e mapeamento de ativos informacionais. A entrega detalha atributos por ativo, vínculos com gestão de riscos e políticas de backup, continuidade e privacidade.
Estruturas de Governança instituídas em 2025
Além das políticas normativas, 2025 marcou a criação de estruturas de governança específicas para temas estratégicos:
-
Comitê Gestor de Identidades Digitais (CGID/MPT): o Comitê Gestor de Identidades Digitais do Ministério Público do Trabalho (CGID/MPT) foi criado por meio da Portaria PGT 5845.2025, com a finalidade de normatizar e gerenciar os processos de Governança e Administração de Identidade (IGA) e Gerenciamento de Identidade e Acesso (IAM). O Comitê é responsável por emitir resoluções, instruções normativas e notas técnicas que disciplinam o uso de identidades digitais, padrões de nomenclatura, ciclos de vida, hierarquia de administração e o princípio do menor privilégio.
-
Comitê de Governança de Inteligência Artificial (CGIA): o Comitê de Governança de Inteligência Artificial (CGIA) foi criado com atribuições de estabelecer políticas e diretrizes para o desenvolvimento e implementação do uso seguro e responsável de Inteligência Artificial Generativa e outras tecnologias associadas no âmbito do MPT. Entre suas competências estão: avaliar projetos de IA quanto aos aspectos éticos, legais e sociais; propor capacitação contínua; avaliar a conveniência de implantação de ferramentas de IA; definir critérios de priorização de demandas; dialogar com o Ceti para priorização de investimentos; e deliberar sobre a necessidade de supervisão humana para revisão de decisões automatizadas. O CGIA aprovou e divulgou o Manual de Recomendações para Uso de IA no MPT, documento orientador que sistematiza princípios, critérios de seleção de casos de uso, requisitos de privacidade, diretrizes de segurança e padrões de explicabilidade.
Transição para o novo ciclo estratégico 2026-2030
Com o encerramento do ciclo do Peti 2021-2025 e do PDNTI 2024-2025, o exercício de 2025 representou um período de transição estratégica. O Plano Estratégico de Tecnologia da Informação 2026-2030, que visa orientar a evolução da TIC no MPT pelos próximos cinco anos, considerando as lições aprendidas do ciclo anterior e as novas demandas tecnológicas institucionais, foi elaborado e submetido à apreciação do Ceti.
O novo Peti 2026-2030 incorpora diretrizes atualizadas para transformação digital, segurança cibernética, governança de dados, inteligência artificial responsável, modernização de infraestrutura multicloud e aprimoramento dos serviços digitais ao cidadão. O documento foi elaborado em consonância com a Resolução CNMP nº 171/2017 e demais normativos aplicáveis, assegurando o alinhamento entre a estratégia de TIC e os objetivos institucionais do MPT.
Síntese da governança em 2025
O exercício de 2025 consolidou avanços significativos na governança de TIC do MPT. A institucionalização de políticas e normas aprovadas pelo Ceti, o avanço da Política de Segurança Cibernética (Posic) e a criação de comitês especializados (CGID e CGIA) representam um salto de maturidade institucional. A gestão de vulnerabilidades e de ativos de informação, agora descrita em processos padronizados com papéis e indicadores claros, elevou a previsibilidade da resposta e a rastreabilidade de decisões.
Com a submissão do Peti 2026-2030 à apreciação do Ceti, o MPT encerra o ciclo estratégico anterior e estabelece as bases para um novo período de transformação digital, mantendo a aderência normativa e o compromisso com a eficiência operacional, a segurança da informação e a inovação responsável.
Infraestrutura
- Atualização da infraestrutura do datacenter primário
Nessa iniciativa, ocorreu a elaboração de processos de aquisição que subsidiarão a renovação do parque tecnológico do datacenter primário do MPT. Os principais processos foram a primeira fase de expansão da infraestrutura de backup, que envolveu a aquisição de equipamentos tape library para sustentar sistemas nacionais e regionais do MPT, e o processo de aquisição de Vmware. Além disso, foram implantadas mudanças nas áreas de colocation, backup e rede, com a finalidade de otimizar o processo de manutenção de dados do órgão.
- Gestão de continuidade
Em 2025, o Departamento de Infraestrutura do MPT focou na implementação do macroprocesso de Gestão da Continuidade de Serviços de TIC, com destaque para a elaboração de planos de continuidade e recuperação de serviços críticos, expansão da infraestrutura de backup, migração de sistemas e bancos de dados, automação de processos, ativação de backups em nuvem e aprimoramento da segurança, garantindo maior resiliência e disponibilidade dos sistemas essenciais do órgão, conforme detalhado pelas entregas e participação da equipe técnica ao longo do ano. As principais iniciativas e entregas foram a migração de sistemas da PGT para o Datacenter Primário-SP, a migração do Oracle 12 para o 19, a contratação de suporte para os storages e tapes dos Datacenters Primário e Secundário, a contratação de licenças para os SGBDs Oracle e MySQL, ampliação do uso de Ansible para automação de processos técnicos, primeira fase da migração do Cosmos MPU para nuvem.
- Provisão de infraestrutura multicloud
A iniciativa de provisão de infraestrutura multicloud foi criada para estruturar uma infraestrutura multicloud institucional no MPT, contratando serviços de nuvem pública (Azure e AWS) para armazenar documentos, hospedar sistemas e migrar aplicações estratégicas para ambientes mais flexíveis, escaláveis e seguros. Em 2025, as entregas se concentraram na definição das arquiteturas técnicas nas nuvens Azure e AWS, construção de infraestrutura específica para casos de uso prioritários (como IA, Cosmos MPU, Destinações, MPT Cidadania, Balcão Virtual, integração de dados com Microsoft Fabric e repositório de logs), além da criação de subscriptions, padronização de nomenclatura e grupos de gerenciamento.
Além disso, outras atividades envolveram a execução de migrações e ativações técnicas, como implantação de rede e hospedagem na AWS, migração do Cosmos, ativação de recursos como secrets e JBoss, e reorganização dos pipelines de desenvolvimento. Essas ações foram formalizadas pelo contrato 54/2024 e diversos processos internos, consolidando a base técnica e administrativa para a nuvem institucional do MPT, com acessos provisionados, infraestrutura criada para sistemas estratégicos e início das migrações de serviços em produção, além da capacitação oficial da equipe em AWS, preparando o órgão para ampliar a adoção multicloud nos próximos ciclos e garantir maior disponibilidade, segurança e continuidade dos serviços.
- Unificação da Infraestrutura da Spai
A Unificação da Infraestrutura da Spai (Secretaria de Pesquisa, Análise e Informação), concluído em 2025 pela Setic, teve como missão a migração da infraestrutura da Spai para o Datacenter do MPT, a reestruturação da rede de acesso e a readequação do armazenamento com a instalação de placas HBA e configuração da Rede SAN, permitindo que os storages da área operassem em produção com melhor desempenho. Todo o processo envolveu a migração de dados dos storages antigos para os novos, reposicionamento de LUNs e integração realizada em parceria entre a equipe Deinf, empresa contratada e Spai.
- Infraestrutura para Armazenamento de Objetos Digitais
A iniciativa de Infraestrutura para Armazenamento de Objetos Digitais teve como foco criar uma plataforma unificada para armazenamento e preservação digital do acervo institucional do MPT, estruturando um repositório arquivístico digital confiável (RAD) para conteúdos não estruturados, como documentos, imagens e vídeos, integrados aos sistemas MPT Digital Finalístico e Administrativo. Em 2025, as entregas se concentraram na preparação técnica e de infraestrutura, viabilizadas pelo contrato 54/2024, que permitiu acesso às nuvens Azure e AWS, configuração de ambientes de hospedagem, armazenamento, rede e segurança para sistemas como Cosmos MPU, GV5 IA, Destinações, MPT Cidadania e Balcão Virtual, além da ativação de serviços específicos na AWS e reorganização de pipelines de desenvolvimento. Paralelamente, houve capacitação oficial da equipe técnica em AWS, fortalecendo competências de operação e segurança no novo ecossistema
- Rede MPT
A Rede Nacional do MPT consolidou a modernização da rede de dados do MPT, em 2025, substituindo o backbone WAN tradicional por uma arquitetura SD-WAN mais flexível e segura, com segmentação de tráfego e políticas de roteamento que garantem alta disponibilidade e desempenho dos serviços críticos, como telefonia IP, acesso remoto e sistemas expostos ao público. As principais entregas envolveram a finalização da configuração da SD-WAN em todas as unidades, ajustes específicos para VoIP, estudos de compatibilidade de equipamentos de acesso, otimização de licenças para telefonia e reforço dos controles de segurança, incluindo recadastramento de VPN e autenticação multifator.
Essas ações permitiram que a rede nacional operasse como uma base confiável para os serviços corporativos do MPT, com melhorias contínuas formalizadas em procedimentos administrativos e técnicos, assegurando governança técnica, segurança operacional e redução de gargalos do modelo antigo. O resultado foi uma infraestrutura de rede estável, eficiente e alinhada às demandas de comunicação e disponibilidade do órgão, preparando o ambiente para futuras evoluções tecnológicas e garantindo a continuidade dos serviços essenciais.
Serviços ao cidadão
- MPT Cidadania
O MPT Cidadania é um projeto de transformação digital no MPT com objetivo de alcançar a convergência, a inovação e a prestação de serviços à sociedade por meio de canais digitais integrados proporcionando uma experiência digital mais fluida e eficiente para os cidadãos e cidadãs.
Trata-se de um processo inovador no MPT para disponibilização de uma plataforma unificada de prestação de serviços para a sociedade. Com isso, as atividades do primeiro ciclo avaliativo do PDNTI foram voltadas ao planejamento e estruturação da ferramenta.
Em 2025, o MPT Cidadania alcançou importantes marcos no seu processo de transformação digital. As entregas realizadas seguiram em alinhamento às iniciativas priorizadas pelo Plano Diretor Nacional de TI do MPT e, entre elas, destacam‑se o desenvolvimento e disponibilização do módulo “Destinações” no portal do MPT (cadastramento de entidades e requisição de recursos), a prospecção de plataformas DXP com indicação de soluções viáveis para aquisição e continuidade em 2026, e a coleta de indicadores de usabilidade dos 25 portais atuais (PGT e regionais), que embasam migração, desenho de navegação, padronização e requisitos de acessibilidade.
Por dependência técnica e orçamentária, a camada unificada do portal teve ritmo condicionado à conclusão de artefatos de licitação, mas frentes correlatas avançaram com entregas substanciais e integráveis ao portal unificado: no novo Portal da Transparência foram mapeados 81 relatórios, foi estruturado o plano de homologação (com testes funcionais e não funcionais), desenvolvidas APIs internas com integração aos dados e sistemas do MPT e foi entregue o portal para homologação, tendo sido já incluído o teste de segurança e o suporte operacional do Sistema Omni (cadastro manual de relatórios, perfis, acessos e controle de APIs). A frente “Balcão Virtual” evoluiu do planejamento à homologação e implantação, integrando agendamento, vídeo, áudio e chat, com ênfase em acessibilidade (Libras, leitores de tela) e experiência inclusiva; suas evidências incluem capacitação e indicadores de atendimento dos primeiros meses. Na frente “Autenticação Gov.br”, a solução de acesso integrado foi implementada em três sistemas, padronizando credenciais com ganhos de segurança, rastreabilidade e conformidade.
Em síntese, 2025 foi o ano de consolidação de base para o portal unificado, com entregas concretas em módulos setoriais (como Destinações) e avanço das frentes integráveis (Transparência, Balcão Virtual e Gov.br), enquanto se amadureciam arquitetura, APIs e indicadores. As restrições de pessoal e orçamento, somadas à necessidade de artefatos de contratação para a camada DXP, deslocaram a conclusão do portal unificado para o ciclo seguinte, sem comprometer a aderência ao Manual da Transparência (5ª edição) do CNMP, aos padrões de acessibilidade e aos parâmetros de segurança e governança digital
- Portal da Transparência
A iniciativa visa a criação de um portal único para o cidadão, envolvendo a adaptação e criação do novo Portal de Transparência do MPT, alinhado ao Manual de Transparência (5ª edição) do CNMP.
Em 2025, foi concluída a primeira versão do novo Portal da Transparência para início da homologação dos dados por todas as áreas de negócio que mantêm informações publicadas no portal. Estima-se que ainda em 2026 seja feita a migração para o novo portal, após a conclusão da homologação. As entregas abrangeram desde concepção e governança (documento de projeto e plano de homologação) até implementação técnica (APIs, integração de dados, segurança, acessibilidade e usabilidade), culminando na entrega do portal para homologação considerando a realização de teste de segurança e integração automatizada de dados com os sistemas internos de origem.
Serviços de transporte ao usuário
Em 2025, a equipe de serviços e suporte ao usuário do MPT celebrou um conjunto de aquisições e contratos voltados à modernização da infraestrutura, continuidade operacional e melhorias em serviços essenciais. Entre os destaques, estão os contratos de fornecimento de suprimentos para impressoras, contemplando tanques de manutenção e cartuchos pretos e coloridos (CT 16/2025, CT 19/2025 e CT 20/2025), garantindo abastecimento contínuo e redução de riscos de paralisação. Houve também a contratação de soluções audiovisuais avançadas para modernização de salas estratégicas da PGT (CT 18/2025), incluindo câmeras robóticas e infraestrutura multimídia.
Na área de software, foi firmada a atualização de licenças CAD/TQS para versão 25 (CT 21/2025), assegurando suporte e correções evolutivas. Em infraestrutura de trabalho, destacam-se a aquisição de 150 desktops Lenovo ThinkCentre M75q Gen2 com monitores (CT 26/2025), ampliando capacidade operacional das unidades, e a contratação de 12 licenças JAWS Professional com manutenção integrada (CT 31/2025), promovendo acessibilidade.
Os contratos reforçaram a governança de TIC ao assegurar vigências adequadas, garantias técnicas, conformidade com LGPD, regras de sustentabilidade e acompanhamento via PGEAs. Esses investimentos sustentaram a operação, modernizaram ambientes críticos e ampliaram a qualidade dos serviços oferecidos ao MPT e ao público
- Service Desk
Ao longo de 2025, a equipe de suporte da Setic atuou de maneira decisiva para garantir a estabilidade dos serviços de TI, a continuidade operacional das unidades e a melhoria da experiência dos usuários em um cenário de crescente demanda por serviços digitais, trabalho remoto e modernização tecnológica. O Service Desk permaneceu como o principal canal de atendimento, e suas atividades envolveram tanto a sustentação diária quanto a evolução dos processos. A equipe conduziu estudos de continuidade contratual, revisou indicadores e SLAs e assegurou na padronização e eficiência no atendimento nacional. Também aprimorou fluxos de substituição de técnicos, reduzindo impactos operacionais e garantindo que a recomposição de equipes ocorresse de forma célere.
Nesse mesmo contexto, houve avanços na base de conhecimento e no catálogo de serviços do Atena, tornando-os mais completos e acessíveis, além da revisão de relatórios e da criação de novas visões que proporcionaram maior transparência para a gestão. A integração do Atena com outros sistemas, por meio de novas APIs, viabilizou automações e qualificou ainda mais o registro e acompanhamento de chamados. A equipe também atuou na adequação das escalas de turnos e feriados às normas trabalhistas e às necessidades de operação, além de tratar vulnerabilidades relacionadas a ferramentas como AnyDesk, fortalecendo a segurança cibernética.
Telefonia Móvel
Na telefonia móvel, os resultados mais expressivos envolveram tanto a preparação da nova contratação nacional quanto a racionalização do custo mensal do serviço. Os estudos técnicos, reuniões com fornecedores e elaboração do termo de referência permitiram consolidar uma base competitiva para o futuro processo licitatório. Paralelamente, o acompanhamento rigoroso do contrato vigente evitou interrupções e assegurou conformidade em todas as unidades. A substituição planejada de aparelhos corporativos por dispositivos próprios em áreas administrativas reduziu gastos recorrentes, criando um efeito financeiro mensurável sem afetar a continuidade. Os controles implementados – como planilhas centralizadas e relatórios comparativos de consumo – permitiram identificar linhas subutilizadas e ajustar entregas, contribuindo para um cenário de menor despesa global.
Teletrabalho
No âmbito do teletrabalho, o suporte garantiu alta disponibilidade do ambiente VDI ao longo do ano, mesmo diante de vulnerabilidades críticas do Horizon. As janelas de manutenção realizadas em fins de semana preservaram o acesso remoto ininterrupto, resultando em estabilidade perceptível na operação diária. A mitigação de falhas identificadas nos componentes do ambiente, aliada ao ajuste de certificados e atualizações do VMware Tools, manteve o serviço seguro e funcional. A contratação de suporte especializado trouxe ganho imediato na capacidade de resposta a incidentes, reduzindo o risco de paralisações. Além disso, o planejamento da prova de conceito de VDI em Azure representou um investimento estratégico: permitiu avaliar elasticidade, custos e desempenho de uma possível migração futura, abrindo caminho para modernizações que impactarão diretamente a experiência dos usuários e a resiliência institucional.
VoIP
Em 2025, a área de Suporte e Infraestrutura do MPT concentrou esforços na continuidade, estabilização e preparação para a evolução do serviço de Voz sobre IP (VoIP). O ano foi marcado pela conclusão de estudos técnicos para subsidiar a próxima contratação de telefonia, uma vez que o contrato atual se encerra em 2026. Entre as atividades realizadas, destaca-se a avaliação do aparelho “Koller – TPS 03”, utilizado por pessoas com deficiência auditiva, cujo estudo identificou incompatibilidade com a solução VoIP vigente e recomendou substituição conforme a Resolução CNMP nº 81/2012.
Houve também a implementação completa da arquitetura de roteamento baseada em SDWAN em todas as unidades, modernizando o fluxo de dados e trazendo maior estabilidade ao serviço. Paralelamente, a equipe diagnosticou falhas recorrentes, sobretudo na PRT12, analisando padrões de intermitência, circuitos e registros operacionais, resultando em tratativas formais com a operadora para correções contínuas.
Além disso, a equipe revisou o quantitativo de licenças, otimizou configurações e elaborou relatórios técnicos com ajustes necessários para a futura licitação do serviço. A redução planejada de licenças na PRT09 demonstrou racionalização de recursos e alinhamento entre demanda real e custos. Assim, 2025 consolidou melhorias estruturais e preparou as bases para a modernização integral do VoIP no MPT.
Outsourcing de impressão
A equipe também teve um papel marcante na gestão do outsourcing de impressão, consolidando dados históricos de uso e indicadores que serviram para embasar decisões estratégicas. Com base nesses dados, foi conduzida uma redução planejada do parque de impressoras, entre 5% e 10%, ajustando a infraestrutura ao uso real e reduzindo custos. Além disso, a equipe atuou diretamente na correção de vulnerabilidades do software de bilhetagem NDDPrint, conduzindo testes, pilotagens e atualizações em coordenação com o ETIR/MPT e as regionais. Também acompanhou contratações relacionadas ao suprimento de consumíveis e assegurou que não houvesse interrupções na impressão institucional.
Atualização Microsoft
A iniciativa identificou e definiu a padronização e modernização do parque tecnológico do MPT. Foi concluído o projeto de atualização dos servidores Windows, eliminando versões sem suporte e unificando ambientes críticos, especialmente controladores de domínio. Paralelamente, avançou-se na atualização das estações para Windows 11, com implantação gradual por regionais, comunicação orientada aos usuários e validação técnica das máquinas aptas. Esse movimento elevou o nível de segurança, reduziu vulnerabilidades e preparou o ecossistema para adoção de novas capacidades da Microsoft. A iniciativa também envolveu a criação de contas administrativas exclusivas no Entra ID, a implementação do Microsoft Defender for Identity e a modernização do licenciamento, garantindo conformidade e continuidade dos serviços. Assim, a atualização Microsoft em 2025 reforçou governança, aprimorou desempenho e habilitou bases para evoluções futuras de identidade, segurança e colaboração.
PTM Nuvem
Este projeto teve como foco a descontinuação das salas técnicas das Procuradorias do Trabalho nos Municípios, substituindo servidores locais pela disponibilização de conteúdos em SharePoint e Azure. Em 2025, foram formalizados padrões e governança do projeto, definindo escopo de migração (arquivos dos últimos dois anos), permissões baseadas exclusivamente em grupos do AD e critérios de estruturação dos sites de regional. A execução iniciou-se com regionais piloto, como PRT9 e PRT13, contemplando discovery, criação de sites, jobs de migração e capacitação de usuários. Embora o avanço tenha sido limitado por restrições de pessoal, o ano consolidou as bases técnicas, operacionais e administrativas necessárias para a migração em escala nacional, visando maior disponibilidade, segurança e padronização do ambiente institucional.
Segurança da informação
A gestão de segurança cibernética no Ministério Público do Trabalho consolidou, ao longo de 2025, uma base robusta de governança, processos e tecnologias que sustentam a proteção da informação e a continuidade dos serviços digitais. A atualização do Plano de Continuidade de Serviços de TI integrou cenários de indisponibilidade, requisitos de recuperação, critérios de ativação de contingência e rotinas de teste e validação, conectando gestão de riscos, operações e continuidade com indicadores e evidências periódicas da capacidade de recuperação. Esse movimento criou uma ligação prática entre gestão de riscos, operações e continuidade, reduzindo o tempo de indisponibilidade e elevando a resiliência institucional diante de incidentes e desastres.
Em paralelo, o diagnóstico nacional de maturidade coordenado pela instância temática de cibersegurança forneceu um retrato abrangente dos controles e lacunas, estruturando domínios de governança, riscos, resposta a incidentes, continuidade e conformidade, e produzindo um roadmap com metas de curto, médio e longo prazo, além de métricas objetivas para orientar decisões e investimentos. Como marco normativo, a política de segurança da informação e comunicação organizou responsabilidades, padronizou requisitos mínimos de autenticação, registro de eventos e criptografia, integrou governança de identidades e incorporou princípios de privacidade desde a concepção, com auditoria e gestão de contratos.
Complementam esse arcabouço a política de gerenciamento de vulnerabilidades, com ciclo claro de identificação, classificação, priorização, correção e verificação; o inventário e mapeamento de ativos da informação, que definiram padrões de identificação e classificação e fortaleceram a visibilidade de dependências em aplicações, bancos de dados e integrações; a política nacional de backup, que estabeleceu periodicidades, estratégias, retenções, segregação, criptografia e testes de restauração; e a política de uso aceitável de recursos de TIC, que alinhou condutas, proteção de dados e segurança operacional em linguagem acessível. A norma de gestão de incidentes cibernéticos padronizou o processo de identificação, contenção, erradicação e recuperação, com playbooks por tipo de incidente, métricas de desempenho e atenção à conformidade quando há dados pessoais.
No plano tecnológico, a plataforma integrada de monitoramento, detecção e resposta ampliou o Siem, implantou XDR e aprimorou o monitoramento de segurança, com ingestão de logs de identidade, aplicações, infraestrutura e segurança, correlação de eventos e playbooks de resposta baseados em risco. Em identidades, foram produzidos e validados artefatos e especificações para aquisição e operação de solução moderna de governança e administração, com ciclo de vida, segregação de funções, revisões periódicas e integração com ferramentas de detecção de anomalias. O planejamento orçamentário específico para cibersegurança destinou recursos a capacitações, certificações, campanhas, simulações e participação em eventos, com indicadores de cobertura e impacto que vinculam investimentos às prioridades do diagnóstico e às metas normativas.
- Gerenciamento de vulnerabilidades
O gerenciamento de vulnerabilidades evoluiu para um programa integrado de mitigação que combina observabilidade, ferramentas especializadas, processos e endurecimento do ambiente. Na camada de observabilidade e resposta, avançou-se na implantação do Siem com automações e playbooks, integrando fontes críticas de identidade e endpoint por meio de arquitetura de logs em nuvem e centralizando telemetria em plataforma de segurança para reduzir o tempo entre detecção e contenção. Medidas complementares incluíram jump servers em ambientes controlados e a recriação de grupos dinâmicos em diretórios de identidade para adequar perfis e licenciamento, reforçando a governança de acesso e o perímetro lógico.
Na camada de gestão, foi implantada ferramenta dedicada de varredura e acompanhamento, com processo formalizado em etapas de descoberta, classificação, priorização, tratamento e monitoramento, alinhado a requisitos de proteção para aplicações expostas. O inventário recebeu apoio de sistema de gestão de configuração, elevando a visibilidade de dependências e facilitando a correlação entre achados e proprietários. Para reforçar auditoria e investigação de alterações, concluiu-se a contratação de solução de auditoria de logs de identidade, essencial para inspeção de eventos, investigação de mudanças e geração de trilhas confiáveis.
No campo de avaliação contínua, destacam-se testes de intrusão em aplicação crítica de participação institucional, que geraram recomendações aplicadas, e a evolução de sistema estratégico com ampliação de funcionalidades e controles. O teste de phishing institucional trouxe indicadores que subsidiaram campanhas de conscientização e ajustes de política, e a personalização de sistema de tickets de incidentes permitiu acompanhamento estruturado de achados, encurtando o ciclo entre identificação e remediação. Medidas de proteção de credenciais e segredos incluíram a contratação de cofre de senhas em nuvem, com guarda segura, controle granular de acesso, rotação automatizada e trilhas de auditoria.
No perímetro e acesso externo, foram conduzidas ações para recadastramento da VPN e planejamento de serviços de defesa ofensiva, com iniciativas de grande impacto previstas como bloqueio de GeoIP para acessos externos ao país e tierização de diretórios de domínio para segmentação de privilégios e isolamento de funções sensíveis. Aplicações institucionais e ambientes de virtualização passaram a ter monitoramento permanente pela solução de vulnerabilidades, elevando significativamente a capacidade de detecção. Foram criados playbooks no Siem para conter ameaças externas e internas, com procedimentos operacionais da equipe de resposta que agregam valor à resolução de incidentes. A ampliação do escopo da ferramenta ao longo de 2025 alcançou sistemas institucionais, componentes do ecossistema Microsoft e servidores de aplicação, com avaliações focadas em aspectos de segurança.
Gestão de identidades
A gestão de identidades foi estruturada como programa estratégico e transversal, conectando diretórios, políticas internas, conformidade e instrumentos de cibersegurança. No eixo de governança e normatização, foi criado comitê gestor de identidades digitais, com competência para normatizar processos de governança e administração, emitir resoluções e instruções sobre padrões de nomenclatura, ciclos de vida, hierarquias de administração e princípio do menor privilégio. Foram elaborados minutas e atos que definem padrões para contas de usuários e de serviço, comunicados aos dirigentes de TIC, consolidando um referencial homogêneo para todo o órgão.
No eixo técnico-operacional, a contratação e implementação de solução moderna de governança e administração automatiza o ciclo de vida das identidades e centraliza a governança sobre diretórios locais e em nuvem. Os artefatos produzidos dimensionam a solução, preveem portal de autoatendimento, relatórios analíticos, automação de provisionamento, alterações e desativação, além de trilhas de auditoria. O gerenciamento de riscos detalhou cenários de integração, segregação de funções e mitigação de impactos, e a conformidade técnica foi atestada em pareceres que asseguram aderência às exigências levantadas. Em relatório final, registrou-se a disponibilidade da plataforma às equipes responsáveis pela operação e evolução de diretórios e acessos, alinhando identidades ao eixo de cibersegurança e às práticas de detecção e resposta.
No eixo de integrações e sustentação, houve integração do diretório de identidades em nuvem com o Siem institucional, viabilizada por arquitetura de encaminhamento de logs de identidade e segurança, elevando a capacidade de monitoramento, correlação e resposta a anomalias. Em paralelo, foram recriados grupos dinâmicos para adequar licenciamento, realizadas capacitações em ferramentas de auditoria e administração e mantida comunicação normativa contínua às equipes técnicas. Embora avaliação semestral de planejamento tenha inicialmente apontado ausência de entregas, o ano consolidou resultados substantivos: comitê instituído e operante, normativos publicados, solução tecnológica implantada e integração de eventos ao Siem. Assim, a identidade passou a atuar como vetor de segurança, conformidade e eficiência, conectando políticas, processos e tecnologia, e preparando a base para evoluções em nomenclatura, revalidações periódicas de acesso, automações adicionais e integração com outros controles.
Atualização da plataforma Microsoft
A atualização da plataforma Microsoft teve como objetivo padronizar e elevar o nível de segurança dos sistemas operacionais em servidores e estações. Nos servidores, concluiu-se o projeto de atualização para versões suportadas, com encerramento formal e documentação de ordens de serviço, mitigando riscos associados à operação em versões sem suporte e fortalecendo autenticação, autorização e consumo seguro de serviços, especialmente em controladores de domínio. Essa padronização reduziu superfícies de ataque, aumentou a confiabilidade dos serviços e assegurou compatibilidade com tecnologias institucionais atuais.
Nas estações, avançou-se consistentemente na atualização para versão moderna do sistema operacional, com cronograma progressivo por regionais, listas validadas de máquinas aptas, comunicação prévia aos usuários e execução local pelas equipes, priorizando estabilidade, usabilidade, ganho de recursos e aderência às políticas de segurança. Como medidas complementares, foram criadas contas administrativas exclusivas no diretório em nuvem, separando perfis de uso comum das credenciais de administração e reforçando a governança de acesso, e configurado recurso de proteção de identidades para monitorar atividades suspeitas em ambientes híbridos.
Houve também gestão de licenças e adequação de perfis às necessidades reais, com saneamento de grupos dinâmicos e suporte contratual para execução de ordens de serviço. Relatórios parciais destacam ciclos contínuos de correção, aplicação de patches e ajustes de compatibilidade e segurança, com atenção especial aos servidores, frequentemente alvo de ameaças e pontos críticos da infraestrutura. Em síntese, a entrega anual produziu padronização tecnológica, redução de risco, melhor desempenho e base habilitadora para adoção de capacidades mais avançadas de identidade e proteção, com registros consolidados que comprovam a conclusão de projetos e a aderência às melhores práticas.
Otimização da defesa de borda de rede
A defesa de borda foi otimizada com um conjunto de ações que reforçaram o perímetro e protegeram aplicações expostas. Houve aprimoramento do WAF on-premise e implantação de WAF na nuvem, contemplando aplicações estratégicas como sistemas de destinações, cidadania e gestão, elevando o nível de inspeção e bloqueio de tráfego malicioso e mitigando vetores de exploração comuns em aplicações web. No firewall, foram criados recursos, como bloqueio por API, ampliando a proteção com políticas granulares e atualizadas para cenários modernos de integração e consumo de serviços.
As configurações em ferramentas especializadas e ambientes de nuvem foram ajustadas para maximizar a postura defensiva, com integração à governança de vulnerabilidades e identidade. Como resultado, os sistemas passaram a ser disponibilizados na internet de maneira mais segura, com cobertura combinada de WAF on-premise e em nuvem, alinhada a controles de aplicação, identidade e monitoramento contínuo. Essa otimização reduz a superfície de ataque, melhora a capacidade de contenção e cria sinergia com o Siem, os playbooks operacionais e as políticas normativas, consolidando o perímetro como componente essencial da arquitetura de segurança cibernética institucional
Principais desafios e ações futuras
O ano de 2025 consolidou avanços relevantes, mas também expôs gargalos estruturais na Setic. O principal desafio – e vetor que atravessa quase todas as frentes – é a escassez de recursos humanos. A limitação de pessoal impactou prazos, ritmo de entregas e a sustentação diária dos serviços, especialmente em iniciativas com alto grau de complexidade técnica (multicloud, Siem/XDR, IGA, SD‑WAN, VoIP, Windows 11). Projetos como o MPT Cidadania e o PTM Nuvem registraram avanço, porém condicionados por restrições de pessoal, o que elevou o risco de sobrecarga operacional e de perda de cadência nas transformações digitais planejadas.
No eixo orçamentário, embora tenham sido empenhados R$ 37,4 milhões em TI, a necessidade de preservar a continuidade de serviços críticos obrigou a priorização de renovações e contratações estratégicas (Oracle, F5, MySQL, suporte a storages e tapes), reduzindo a margem para inovação acelerada. Com 91 iniciativas no PDNTI (49 priorizadas para 2024–2025), o desafio foi equilibrar execução e recomposição contratual com uma equipe reduzida, dado que cada ciclo aquisitivo demanda estudos técnicos, gestão de riscos e acompanhamento contratual intensivo – atividades intensivas em mão de obra especializada.
A agenda de transformação digital ampliou a complexidade operacional em 2025: evolução do Cosmos MPU (login unificado, atualização tecnológica e preparação para nuvem), arquiteturas em Azure/AWS, base para repositório arquivístico digital e modernização da rede via SD‑WAN. A continuidade avançou (planos, expansão de backups, migrações, automações) e a plataforma de pipelines de dados ganhou robustez. O desafio central foi operar um ecossistema híbrido/multicloud com múltiplas integrações e alta exigência de observabilidade sem ampliar proporcionalmente a força de trabalho — aumentando dívida operacional e dependência de poucos especialistas‑chave.
Em cibersegurança, o principal desafio de 2025 foi a crescente quantidade de ataques cibernéticos que ameaçaram a informação do MPT, somada às limitações orçamentárias para aquisição de soluções de mercado e à escassez crítica de recursos humanos. Mesmo com avanços (Siem/XDR, WAF on‑prem e em nuvem, auditoria de logs, varreduras e testes), sustentar rotinas de detecção, correção e revalidação de acessos no ritmo adequado exigiu mais analistas e capacitação contínua.
Nos serviços ao cidadão e suporte, houve entregas como “Destinações”, homologação do novo Portal da Transparência, autenticação gov.br e estabilização do Service Desk em VDI/VoIP/teletrabalho, mas o Portal Unificado depende de contratações e pessoal.
Para 2026, os desafios da Setic enfrentarão um ciclo de alta complexidade, marcado por entregas estruturantes e por um contexto de escassez crítica de recursos humanos e restrições orçamentárias. A autonomia operacional das regionais continuará exigindo coordenação nacional rigorosa para garantir padronização, segurança e continuidade dos serviços, especialmente em transições contratuais e tecnológicas.
No Suporte, 2026 prioriza IA generativa à área finalística com governança, explicabilidade e proteção de dados. A nova contratação e implantação do Service Desk exigirão revisão de SLAs, catálogo, base de conhecimento e integrações. A telefonia móvel migrará para a Diretoria de Administração, com controles de consumo e comunicação aos usuários. Em paralelo, ocorrerão nova contratação do VoIP e remodelagem do outsourcing de impressão. A migração de file servers para SharePoint pede saneamento de permissões, trilhas e treinamento. A disseminação do Copilot requer políticas, capacitação e observabilidade. Por fim, nova solução de teletrabalho e acessos remotos (MFA, Zero Trust, segmentação) reduzirão riscos, enquanto a modernização do parque impõe desafios logísticos e de compatibilidade.
Na Infraestrutura, o plano inclui expansão do armazenamento (novos storages e tapes), backup em nuvem, renovação do VMware e ampliação das redes locais e Wi Fi. A segunda fase da migração do Cosmos e a expansão do projeto multicloud (Azure/AWS) virão acompanhadas da unificação do ambiente DevOps e da adoção de novas arquiteturas híbridas. A reestruturação das políticas de segurança de borda (WAF, firewall, publicação segura) e a implementação de DevSecOps integrarão segurança ao ciclo de desenvolvimento. A padronização das infraestruturas regionais melhorará a eficiência e a suportabilidade, enquanto análise automática de código e reforma das bases de dados elevarão desempenho e governança de dados.
Em Desenvolvimento, as prioridades incluem a possível implantação do módulo de Contratos no Cosmos MPU, a entrada em produção do novo Portal da Transparência, o início da modernização do portal Web do MPT e a conclusão da homologação do sistema de gestão de frequência. A política de governança de aplicativos LowCode/NoCode e a aquisição de plataforma associada habilitarão ganhos de produtividade com controle e segurança. A consolidação da estratégia DevOps (GitHub Enterprise, CI/CD, rastreabilidade) e a disponibilização na internet do sistema de Conciliação reforçarão atendimento ao cidadão, enquanto a migração efetiva do Cosmos para nuvem aumentará escalabilidade e resiliência.
Na governança de TI, o desafio central para 2026 será a consolidação de um modelo de governança integrada que articule, de forma coesa, os múltiplos comitês e instâncias decisórias criados nos últimos anos com os instrumentos de planejamento estratégico e tático aprovados. A proliferação de estruturas de governança, embora necessária para endereçar temas emergentes como inteligência artificial, identidades digitais e cibersegurança, impõe o risco de fragmentação decisória, sobreposição de competências e dificuldade de priorização unificada das iniciativas de TIC. Soma-se a isso a necessidade de institucionalizar métricas de maturidade e indicadores de desempenho que permitam avaliar objetivamente a efetividade das políticas aprovadas, evitando que os normativos se tornem documentos meramente formais sem aderência operacional. A escassez de recursos humanos especializados agrava esse cenário, uma vez que a operacionalização de múltiplas políticas e a participação efetiva em comitês concorrem com as demandas de sustentação e projetos estruturantes. Para 2026, será fundamental instituir o papel estratégico da governança de TIC dentro da estrutura da Setic com atribuições de coordenação transversal, elaborar um painel integrado de indicadores de governança vinculado ao PDTIC, e promover a revisão do regimento dos comitês para eliminar redundâncias e definir fluxos claros de escalação e deliberação, assegurando que a governança funcione como habilitadora (e não como gargalo) da transformação digital do MPT.
Na cibersegurança, o grande desafio de 2026 será a manutenção de um ecossistema híbrido/multicloud com maior superfície de ataque, integrações complexas e exigência de alta disponibilidade. A agenda inclui a implantação de uma solução moderna de gerenciamento de identidades (IGA) e a reforma dos diretórios de identidade e das formas de acesso (on‑prem e cloud), com padronização de nomenclaturas, automação de ciclo de vida (provisionamento, alterações, desativação), revalidações periódicas de privilégios, tierização e princípio do menor privilégio, integração de eventos de identidade ao Siem, SSO, MFA e segmentação Zero Trust para VPN, VDI e aplicações expostas. A IA generativa impõe riscos adicionais (vazamento de dados, prompt injection, abuso de credenciais), exigindo políticas, classificação de dados e observabilidade. Teletrabalho, VoIP e serviços terceirizados ampliam o risco de cadeia de suprimentos, demandando cláusulas contratuais de segurança e playbooks de resposta.
Gestão de Pessoas
A Diretoria de Gestão de Pessoas é responsável por planejar e gerir as atividades inerentes à gestão de pessoas no Ministério Público do Trabalho. A unidade central localiza-se em Brasília, na Procuradoria-Geral do Trabalho, sendo composta pelos seguintes departamentos: Registro e Informações Funcionais, Legislação, Desenvolvimento de Pessoas e Pagamento. No âmbito local, determinadas atividades da área são descentralizadas para as 24 unidades regionais do MPT.
Conformidade legal
O Ministério Público do Trabalho, na gestão legal de seus servidores, segue as diretrizes estabelecidas pela Lei 8.112/90, pelos acórdãos do Tribunal de Contas da União (TCU), pelas recomendações emitidas pelo Conselho Nacional do Ministério Público (CNMP), pelas orientações do controle interno do MPU (Audin) e, por fim, pelas Portarias publicadas pelo Ministério Público da União (MPU).
Apontamentos dos órgãos de controle
Os sistemas “e-pessoal” e “Conecta”, ambos do Tribunal de Contas da União, são utilizados como ferramenta pelo MPT para realização da conformidade legal. Nesses sistemas, a corte de contas disponibiliza eventuais inconsistências constatadas em auditorias, bem como os acórdãos provenientes do exame de aposentadorias e pensões.
-
Total de diligências recebidas em 2025 pelo sistema e-pessoal: 88
-
Diligências com esclarecimento iniciado e aguardando esclarecimento: 12
-
Diligências com esclarecimento encaminhado ao TCU: 32
-
Diligências arquivadas: 19
-
Diligências tratadas em processo de controle externo: 11
-
Diligências em monitoramento pelo TCU: 14
Dentre os apontamentos mais comuns estão:
-
Parcela incompatível com subsídio;
-
Inobservância do teto constitucional para pensionistas que possuem outro vínculo público; e
-
Admissão do servidor/empregado/militar sem ato de concessão no e-Pessoal.
Determinações do Tribunal de Contas da União
Os atos administrativos complexos emanados pela Administração Pública necessitam ser apreciados por um ou mais órgãos para se aperfeiçoarem e produzirem efeitos legais. Dentre os atos mais produzidos na Diretoria de Gestão de Pessoas estão os de concessão de aposentadoria e pensões. Primeiramente, o Ministério Público do Trabalho realiza a análise do direito solicitado e confecciona a portaria. Na sequência, estes documentos são enviados ao Tribunal de Contas da União para exame e, caso estejam em conformidade, é feita a ratificação e registro definitivo dos atos. Caso o registro seja negado, o TCU, por meio de um acordão, determina ao MPT as ações que devem ser realizadas para correção ou impugnação do ato.
Durante o ano de 2025, oito atos de aposentadorias foram julgados pela Corte de Contas que resultaram em determinações ao Ministério Público do Trabalho, conforme indicado na tabela abaixo:
|
Acórdãos TCU 2025 |
||||
|
Item |
Acordão |
Data de julgamento |
Categoria |
Andamento |
|
1 |
Acórdão n° 7983/2025 Primeira Câmara |
18/11/2025 |
Aposentadoria |
Cadastrado novo ato de E-Pessoal e aguardando análise final do pedido de reexame interposto. |
|
2 |
Acórdão n° 6119/2025 Segunda Câmara |
21/10/2025 |
Aposentadoria |
Cadastrado novo ato de E-Pessoal e aguardando análise final do pedido de reexame interposto. |
|
3 |
Acórdão n° 3972/2025 Primeira Câmara |
24/06/2025 |
Aposentadoria |
Cadastrado novo ato de E-Pessoal e arquivado. |
|
4 |
Acórdão n° 3527/2025 Primeira Câmara |
03/06/2025 |
Aposentadoria |
Arquivado. |
|
5 |
Acórdão nº 3117/2025 Segunda Câmara |
20/05/2025 |
Aposentadoria |
Cadastrado novo ato de E-Pessoal e arquivado. |
|
6 |
Acórdão n° 3027/2025 Primeira Câmara |
13/06/2025 |
Aposentadoria |
Cadastrado novo ato de E-Pessoal e arquivado. |
|
7 |
Acórdão n° 2445/2025 Primeira Câmara |
15/04/2025 |
Aposentadoria |
Aguardando decisão judicial proferida no processo 1035883-44.2019.4.01.3400. |
|
8 |
Acórdão nº 2378/2025 Primeira Câmara |
08/04/2025 |
Aposentadoria |
Arquivado. |
Atividades de correição e apuração de ilícitos administrativos – Corregedoria
Introdução
Conforme previsão do art. 1º da Resolução CNMP nº 149/2016 e do art. 14 da Resolução CSMPT nº 144/2017, a Corregedoria, a partir de um planejamento estratégico anual, alinhado aos objetivos e diretrizes institucionais, deve realizar periodicamente correições no âmbito do Ministério Público do Trabalho, para verificar a regularidade do serviço, de acordo com as normas e recomendações vigentes, e a eficiência das atividades desempenhadas pelas unidades e pelos seus membros, visando sempre o aperfeiçoamento e o fortalecimento da coesão institucional. Por meio dessa atividade, o órgão busca orientar os membros a tomarem medidas preventivas ou corretivas, quando identificadas situações que exijam atenção especial.
A metodologia de trabalho adotada pela Corregedoria do MPT em 2025 privilegiou o modelo híbrido de correição, conforme disposto no art. 10 da Resolução CSMPT 144/2017 e da Recomendação de Caráter Geral CNMP-CN nº 02/2020. Assim, as atividades são iniciadas remotamente, com a extração, análise preliminar, consolidação e detalhamento de informações individualizadas acerca dos ofícios das unidades correicionadas e, posteriormente, se concretizam com a realização das visitas institucionais e correicionais, durante as quais o corregedor-geral e sua equipe podem esclarecer eventuais dúvidas, ouvir demandas locais e avaliar aspectos relacionados à regularidade dos serviços, à produtividade, à qualidade, à efetividade, ao volume de trabalho etc. As visitas também permitem a identificação de dificuldades e necessidades administrativas específicas das unidades, todas devidamente registradas nos procedimentos eletrônicos correlatos.
De acordo com o art. 11 da Resolução CSMPT nº 144/2017, o cronograma anual de correições ordinárias é elaborado no mês de outubro de cada ano para execução no exercício subsequente e deve abranger, ao longo de três anos, todas unidades do MPT distribuídas pelo país, inclusive a Procuradoria-Geral do Trabalho, alinhado ao que prevê o art. 1º da Resolução CNMP 149/2016 e o regimento interno da Corregedoria.
O cronograma de correições previsto para o exercício de 2025 foi integralmente cumprido. Assim, nesse exercício, foram realizadas nove correições ordinárias, abrangendo 295 ofícios, incluindo aqueles vinculados a membros em estágio probatório.
Além disso, ao final do exercício, 53 processos administrativos de controle e acompanhamento encontravam-se em tramitação, autuados com a finalidade de analisar o cumprimento de recomendações relacionadas à existência de inquéritos civis em curso há mais de três anos, no âmbito do monitoramento permanente realizado pela Corregedoria.
Além das correições ordinárias, podem ser deflagradas correições extraordinárias e inspeções, nos termos do art. 24 do Regimento Interno da Corregedoria, sempre que identificado motivo relevante que justifique a intervenção imediata.
Frise-se que, em observância ao art. 19, § 2º, da Resolução CSMPT nº 144/2017 e à Lei Geral de Proteção de Dados (LGPD), a Corregedoria assegura a transparência de suas atividades, resguardando o sigilo dos procedimentos individuais. Assim, os relatórios de correição são publicados para consulta pública no portal institucional e na intranet, permitindo que a sociedade compreenda o papel da Corregedoria e acompanhe suas ações.
Por fim, a Corregedoria permanece em constante processo de reavaliação e aprimoramento de suas atividades correicionais. Em 2025, foram revisados os processos internos, as normas reguladoras da atividade correicional e as ferramentas tecnológicas utilizadas para a execução das correições, com vistas a potencializar a eficiência, a segurança e a qualidade do trabalho desempenhado. Nesse contexto, registra-se que já se encontra em execução a criação e implementação do sistema de gestão próprio da Corregedoria, anteriormente preconizado no relatório de gestão apresentado no ano de 2025. A iniciativa encontra-se em fase inicial de desenvolvimento, com planejamento estruturado para a entrega do primeiro módulo funcional até o meio do exercício corrente, bem como para a disponibilização, ao final do ano, de uma versão mais abrangente da solução. Espera-se que a ferramenta, uma vez progressivamente implementada, contribua de forma significativa para o fortalecimento da governança correicional, para a sistematização das informações estratégicas e para o aprimoramento da análise e do embasamento técnico dos relatórios produzidos pelo órgão.
Esse compromisso com a melhoria contínua reflete a missão da CMPT de garantir o controle institucional efetivo, a regularidade, a eficiência e a excelência na atuação das unidades e dos membros do Ministério Público do Trabalho em todo o território nacional.
Correições ordinárias realizadas em 2025
|
PRT |
OFÍCIOS |
PERÍODO DA CORREIÇÃO |
|
|
SEDE |
PTMS |
||
|
24ª Região - MS |
1º, 2º, 3º, 4º, 5º, 6º, 7º e 8º Ofícios Gerais e Ofício Único Especializado da PTM de Corumbá (Redistribuído) |
1º e 2º Ofícios da PTM de Três Lagoas |
10 a 21/2/2025 |
|
1º e 2º Ofícios da PTM de Dourados |
|||
|
22ª Região - PI |
1º, 2º, 3º, 4º, 5º, 6º, 7º, 8º e 9º Ofícios Gerais |
1º e 2º Ofícios da PTM de Picos |
10 a 21/3/2025 |
|
1º Ofício da PTM de Bom Jesus |
|||
|
4ª Região - RS |
1º, 2º, 3º, 4º, 5º, 6º, 7º, 8º, 9º, 10º, 11º, 12º, 13º, 14º, 15º, 16º, 17º, 18º, 19º, 20º, 21º, 22º, 23º, 24º, 25º, 26º, 27º, 28º, 29º, 30º, 31º, 32º, 33º, 34º, 35º, 36º, 37º, 38º e 39º Ofícios Gerais |
1º, 2ºe 3º Ofícios da PTM de Passo Fundo |
31/3 a 25/4/2025 |
|
1º, 2º e 3º Ofícios da PTM de Santa Maria |
|||
|
1º e 2º Ofícios da PTM de Santo Ângelo |
|||
|
1º, 2º, 3º e 4º Ofícios da PTM de Pelotas |
|||
|
1º e 2º Ofícios da PTM de Uruguaiana |
|||
|
1º, 2º, 3º e 4º Ofícios da PTM de Caxias do Sul |
|||
|
1º, 2º e 3º Ofícios da PTM de Santa Cruz do Sul |
|||
|
1º, 2º e 3º Ofícios da PTM de Novo Hamburgo |
|||
|
19ª Região - AL |
1º, 2º, 3º, 4º, 5º, 6º, 7º, 8º, 9º e 10º Ofícios Gerais |
1º e 2º Ofícios da PTM de Arapiraca |
12 a 23/5/2025 |
|
23ª Região - MT |
1º, 2º, 5º, 6º, 7º e 8º Ofícios Especializados, 3º e 4º Ofícios Gerais, 1º Ofício Comum Especializado da PTM de Cáceres (Redistribuído) e 2º Ofício Comum Especializado da PTM de Barra do Garças (Redistribuído) |
1º e 2º Ofícios da PTM de Rondonópolis |
2 a 13/6/2025 |
|
1º e 2º Ofícios da PTM de Sinop |
|||
|
1º e 2º Ofícios da PTM de Alta Floresta |
|||
|
1º Ofício Comum Geral da PTM de Barra do Garças (Redistribuído) |
|||
|
10ª Região - DF/TO |
1º, 2º, 3º, 4º, 5º, 6º, 7º, 8º, 9º, 10º, 11º, 12º, 13º, 14º, 15º, 16º, 17º, 18º, 19º, 20º, 21º, 22º, 23º, 24º, 25º, 26º, 27º, 28º, 29º e 30º Ofícios Especializados |
1º e 2º Ofícios da PTM de Palmas |
11 a 22/8/2025 |
|
1º e 2º Ofícios da PTM de Araguaína |
|||
|
1º e 2º Ofícios da PTM de Gurupi |
|||
|
7ª Região - CE |
1º, 2º e 10º Ofícios Gerais, 3º, 4º, 5º, 6º, 7º, 8º e 9º Ofícios Especializados e 1º Ofício Comum Geral da PTM de Limoeiro do Norte (Redistribuído) e 1º Ofício Comum Geral da PTM de Sobral/CE (Redistribuído) |
1º e 2º Ofícios da PTM de Juazeiro do Norte |
8 a 19/9/2025 |
|
15ª Região – Campinas - SP |
1º, 2º, 3º, 4º, 5º, 6º, 7º, 9º, 10º, 11º, 13º, 16º, 17º, 18º, 19º, 22º e 37º Ofícios Gerais, 8º, 12º, 14º, 15º, 20º, 21º, 23º, 24º, 25º, 26º, 27º, 28º, 29º, 30º, 31º, 32º, 33º, 34º, 35º e 36º Ofícios Especializados |
1º, 2º, 3º e 4º Ofícios da PTM de São José dos Campos |
6 a 24/10/2025 |
|
1º, 2º, 3º e 4º Ofícios da PTM de Bauru |
|||
|
1º, 2º e 3º Ofícios da PTM de Araraquara |
|||
|
1º, 2º e 3º Ofícios da PTM de Presidente Prudente |
|||
|
1º e 2º Ofícios da PTM de Araçatuba |
|||
|
1º, 2º, 3º e 4º Ofícios da PTM de Ribeirão Preto |
|||
|
1º, 2º e 3º Ofícios da PTM de Sorocaba |
|||
|
1º, 2º e 3º Ofícios da PTM de São José do Rio Preto |
|||
|
3ª Região - MG |
1º, 2º, 3º, 4º, 5º, 6º, 7º, 8º, 9º, 10º, 11º, 12º, 13º, 14º, 15º, 16º, 17º, 18º, 19º, 20º, 21º, 22º, 23º, 24º, 25º, 26º, 27º, 28º, 29º, 30º, 31º, 32º e 33º Ofícios Gerais |
1º e 2º Ofícios da PTM de Pouso Alegre |
3 a 19/11/2025 |
|
1º e 2º Ofícios da PTM de Teófilo Otoni |
|||
|
1º, 2º e 3º Ofícios da PTM de Coronel Fabriciano |
|||
|
1º, 2º e 3º Ofícios da PTM de Governador Valadares |
|||
|
1º, 2º, 3º e 4º Ofícios da PTM de Divinópolis |
|||
|
1º e 2º Ofícios da PTM de Patos de Minas |
|||
|
1º, 2º e 3º Ofícios da PTM de Varginha |
|||
|
1º, 2º, 3º e 4º Ofícios da PTM de Juiz de Fora |
|||
|
1º e 2º Ofícios da PTM de Montes Claros |
|||
|
1º, 2º, 3º, 4º e 5º Ofícios da PTM de Uberlândia |
|||
Correições extraordinárias em tramitação em 2025
No exercício de 2025, 11 procedimentos de correições extraordinárias, autuados em diferentes momentos do ano, tramitaram na Corregedoria.
Apuração de ilícitos administrativos
Desde 2017, a tramitação dos procedimentos disciplinares ocorre sob o formato eletrônico, na plataforma do MPT Digital Administrativo. Em auxílio aos interessados, como ferramenta destinada a facilitar o acesso do público externo e interno à Corregedoria do MPT, o recebimento de representações pode realizar-se nos formatos de peticionamento eletrônico, peticionamento físico, posteriormente digitalizado, ou mensagem eletrônica encaminhada via e-mail institucional (pgt.corregedoria@mpt.mp.br).
As petições encaminhadas ao órgão correcional são autuadas, inicialmente, como Procedimentos de Gestão Administrativa (Pgea). Ato seguinte, realizada análise preliminar, caso seja verificado que as informações apresentadas veiculem matéria de natureza disciplinar, com relatos acerca da possível ocorrência de transgressões funcionais, segue-se, em regra, a convolação do procedimento em notícia de infração disciplinar (NID). Excepcionalmente, configurada a impossibilidade de identificação da autoria dos fatos narrados, bem como na ausência de atribuição desta Corregedoria, o feito permanece com tramitação na classe de Pgea.
A NID consolida procedimento preliminar destinado à análise perfunctória das informações aportadas na Corregedoria, como fase preparatória da persecução disciplinar propriamente dita, à luz do art. 246 da LC 75/1993.
Considerando os elementos informativos iniciais, caso evidenciado indícios de autoria e materialidade da prática de infração disciplinar, o corregedor-geral determinará a instauração de inquérito administrativo disciplinar (IAD) dirigido ao aprofundamento das diligências investigatórias. Neste cenário, será designada comissão integrada por três membras ou membros, de igual classe na carreira ou superior à do investigado, preferencialmente entre aqueles inscritos no Cadastro Nacional de Membras e Membros Auxiliares da Corregedoria, a teor do art. 247 da LC nº 75/1993.
A comissão de IAD emitirá relatório opinando pelo arquivamento ou instauração de processo administrativo disciplinar (PAD), no prazo de 30 (trinta) dias, prorrogáveis por igual período, remetendo os autos ao Conselho Superior do MPT, colegiado que poderá adotar uma das seguintes soluções: arquivamento, designação de comissão de PAD ou retorno dos autos à Corregedoria, para elaboração de súmula de acusação, se não acolhido o relatório de arquivamento da Comissão de IAD.
Em sede disciplinar incidente sobre as membras e os membros que integram a instituição, o procurador-geral do Trabalho é o responsável por aplicar as sanções de advertência, censura ou suspensão, com base no relatório da comissão de PAD aprovado pelo Conselho Superior. Na hipótese de demissão de membra ou membro vitalício, ou cassação de aposentadoria, a sanção depende da propositura de ação civil para perda de cargo ou proventos a cargo do procurador-geral da República.
Em 2025, tramitou, ainda, procedimento de controle e acompanhamento (CA) para fiscalização de termos de adequação de conduta funcional (TAF) firmado no inquérito administrativo disciplinar.
Os procedimentos com caráter disciplinar instaurados no âmbito da Corregedoria do MPT foram registrados no Sistema Nacional de Informações de Natureza Disciplinar do Conselho Nacional do Ministério Público (Sind CNMP) e no Sistema de Informações da Corregedoria (SincorWEB).
Abaixo segue quadro com quantitativo de procedimentos vinculados à área disciplinar, em curso ou finalizados em 2025.
|
Procedimentos finalizados e em curso no período |
|||||
|
Espécie |
Arquivados |
Encerrados com aplicação de penalidade |
Evolução de classe ou celebração de TAF |
Em andamento |
Total |
|
Procedimento de Gestão Administrativa |
57 |
NA |
NA |
- |
57 |
|
Notícia de Infração Disciplinar (NID) |
25 |
NA |
2 |
1 |
28 |
|
Inquéritos Administrativos* |
1 |
NA |
NA |
1 |
1 |
|
Processo Administrativo Disciplinar* |
- |
- |
- |
2 |
2 |
NA: Classificação Não Aplicável
* Em curso no Conselho Superior do Ministério Público do Trabalho (CSMPT)
Obs.: Tramita ainda no CSMPT mais um procedimento que foi anulado por decisão judicial e encontra-se aguardando julgamento de embargos de declaração interpostos pela AGU.
Avaliação da força de trabalho do MPT
A força de trabalho do Ministério Público do Trabalho é composta por três carreiras distintas: membros do MPT, analistas do MPU e técnicos do MPU.
Aos membros do MPT compete, entre outros, promover as ações judiciais, no âmbito da Justiça do Trabalho, além da atuação extrajudicial para defesa de interesses coletivos, quando desrespeitados direitos sociais constitucionalmente garantidos aos trabalhadores. Aos analistas e técnicos do MPT compete prestar apoio aos procuradores nessas atribuições constitucionalmente definidas, tanto na área administrativa quanto na finalística. Todos ingressam por meio de concurso público no órgão.
Em termos quantitativos, essa força de trabalho divide-se em 775 membros ativos, 1.290 analistas e 1.812 técnicos, totalizando 3.102 ativos, dos quais 73 se encontram cedidos a outros órgãos.
Além dos cargos efetivos, também integram a força de trabalho do MPT 294 servidoras e servidores requisitados, 510 servidoras e servidores sem vínculo (comissionados) e 522 estagiários.
A seguir apresenta-se a tabela com a distribuição da força de trabalho do MPT.
|
Distribuição |
Quatidade |
|
Membros |
775 |
|
Analistas |
1.290 |
|
Técnicos |
1.812 |
|
Requisitados |
294 |
|
Sem vínculo |
510 |
|
Estagiários |
522 |
|
Total |
5.203 |
Avaliação da Força de Trabalho dos membros do MPT
A carreira dos membros do MPT é constituída pelos cargos de subprocurador-geral do Trabalho, procurador Regional do Trabalho e procurador do Trabalho. O cargo inicial da carreira é o de procurador do Trabalho e último nível é o de subprocurador-geral do Trabalho. Os membros são regidos pela Lei Complementar nº 75/1993.
A seguir são apresentados dados atinentes ao perfil sociodemográfico dos membros que integram o MPT.
|
Distribuição de membros por faixa etária em 2025 |
||
|
Faixa etária |
Membros |
Percentual |
|
29-38 anos |
84 |
10,84% |
|
39-48 anos |
286 |
36,90% |
|
49-58 anos |
232 |
29,94% |
|
59-68 anos |
140 |
18,06% |
|
69-70 anos |
10 |
1,29% |
|
71-75 anos |
23 |
2,97% |
|
Total |
775 |
100% |
|
Distribuição de membros por cargo em 2025 |
|
|
Procuradora e procurador do Trabalho |
566 |
|
Procuradora e procurador regional do Trabalho |
161 |
|
Subprocuradora e subprocurador-geral do Trabalho |
48 |
|
Total |
775 |
|
Distribuição de membros por gênero em 2025 |
|
|
Mulheres |
408 |
|
Homens |
367 |
|
Distribuição de membros por etnia em 2025 |
|
|
Branca |
616 |
|
Parda |
126 |
|
Preta |
10 |
|
Amarela |
10 |
|
Indígena |
3 |
|
Não informado |
10 |
Faixa etária de servidoras e servidores
A seguir, são apresentados dados atinentes ao perfil sociodemográfico de servidoras e servidores que integram o MPT.
Apresenta-se, inicialmente, a distribuição da força de trabalho por faixa etária. Observa-se um perfil etário relativamente jovem, o que indica que, no curto prazo, não se projetam impactos expressivos decorrentes de aposentadorias. Ademais, historicamente, a Instituição tem adotado política de ingresso periódico de servidores(as), mediante concursos públicos realizados, em média, a cada dois a quatro anos.
Não obstante esse cenário demográfico no curto prazo, a Seção de Recrutamento e Seleção/DDP/PGT atua de forma contínua no aprimoramento de seus fluxos de trabalho e no desenvolvimento de iniciativas estratégicas, tais como a implementação de banco de permuta, mecanismos de movimentação interna e a condução de processos seletivos voltados a projetos específicos. Todavia, a reposição de vagas não tem ocorrido em volume suficiente para suprir as vacâncias verificadas, inclusive aquelas decorrentes de aposentadorias já efetivadas, o que tem produzido impactos na dinâmica de gestão da força de trabalho.
|
Distribuição de servidoras e servidores por faixa etária em 2025 |
||
|
Faixa etária |
Servidoras e servidores |
Percentual |
|
18-28 anos |
9 |
0,29% |
|
29-38 anos |
487 |
15,70% |
|
39-48 anos |
1.381 |
44,52% |
|
49-58 anos |
880 |
28,37% |
|
59-68 anos |
311 |
10,03% |
|
69-70 anos |
19 |
0,61% |
|
71-75 anos |
15 |
0,48% |
|
Total |
3.102 |
100% |
|
Distribuição de servidoras e servidores por gênero em 2025 |
|
|
Mulheres |
1.383 |
|
Homens |
1.719 |
|
Distribuição de servidoras e servidores por etnia em 2025 |
|
|
Branca |
2.006 |
|
Parda |
876 |
|
Preta |
137 |
|
Amarela |
67 |
|
Indígena |
4 |
|
Não informado |
12 |
Evolução do quadro de pessoal do MPT
|
Evolução do quadro de pessoal 2014-2025 |
|||||
|
Ano |
Estagiários |
Membros |
Pessoal sem vínculo |
Quadro de pessoal |
Requisitado |
|
2014 |
861 |
759 |
199 |
2772 |
422 |
|
2015 |
834 |
758 |
275 |
2994 |
385 |
|
2016 |
312 |
782 |
279 |
2960 |
375 |
|
2017 |
762 |
773 |
328 |
3049 |
361 |
|
2018 |
681 |
782 |
343 |
3017 |
341 |
|
2019 |
666 |
772 |
352 |
3027 |
306 |
|
2020 |
582 |
768 |
362 |
3028 |
305 |
|
2021 |
579 |
760 |
367 |
3002 |
288 |
|
2022 |
595 |
771 |
417 |
3034 |
288 |
|
2023 |
656 |
791 |
456 |
3175 |
287 |
|
2024 |
603 |
781 |
477 |
3111 |
292 |
|
2025 |
522 |
775 |
510 |
3.102 |
294 |
No que se refere à evolução do quadro de pessoal, registra-se que, no exercício de 2025, foram concedidas 40 aposentadorias, sendo 3 de membros e 37 de servidores(as), além de 14 pensões. Para o exercício de 2026, a projeção mantém-se no mesmo patamar, com a estimativa de 40 aposentadorias.
Distribuição da força de trabalho por área de atuação
A seguir, encontra-se a distribuição da força de trabalho conforme a área de atuação. Na apresentação desses dados, não foram considerados as servidoras e os servidores requisitados.
|
Distribuição da força de trabalho |
||
|
|
Área Finalística |
Área Administrativa |
|
Estagiários |
363 |
159 |
|
Membros |
764 |
11 |
|
Sem vínculo |
331 |
179 |
|
Quadro de Pessoal * |
1213 |
1816 |
|
Requisitados |
33 |
261 |
* Fonte: Sistema MentoRH em 31/12/2025.
Distribuição da força de trabalho por situação funcional
|
Distribuição da força de trabalho por situação funcional |
Quantitativo |
|
Ativos e estatutários |
3.029 |
|
Inativos e estatuários |
534 |
|
Sem vínculo |
510 |
|
Requisitados |
294 |
|
Cedidos |
73 |
* Fonte: Sistema MentoRH em 31/12/2025.
Detalhamento da despesa de pessoal
O crescimento das despesas com servidores(as) e membros, no que se refere às despesas com pessoal, justifica-se, sobretudo, pela aplicação da última parcela dos reajustes previstos, efetivada em fevereiro de 2025, nos termos da Lei nº 14.524/2023, e da Lei nº 14.521/2023, aplicáveis aos servidores(as) e aos membros, respectivamente.
Além do mais, no exercício de 2025, foram efetuados alguns pagamentos de passivos referentes a exercícios anteriores, os quais podem ter contribuído pontualmente para o aumento dos valores observados na comparação entre os anos de 2024 e 2025.
A seguir, encontra-se a evolução da despesa com Pessoal.
|
Despesa total com pessoal |
2024 |
% |
2025 |
% |
|
Ativos |
R$ 1.454.848.203,52 |
82,27% |
R$ 1.562.877.167,14 |
82,53% |
|
Inativos |
R$ 230.468.954,86 |
13,03% |
R$ 246.333.758,11 |
13,01% |
|
Pensionistas |
R$ 58.505.780,11 |
3,31% |
R$ 61.665.837,62 |
3,26% |
|
Exercícios anteriores |
R$ 24.520.902,57 |
1,39% |
R$ 22.786.873,19 |
1,20% |
|
Total |
R$ 1.768.343.841,06 |
100% |
R$ 1.893.663.636,06 |
100% |
Fonte: Siafi Gerencial em 6/1/2026.
|
Despesa com pessoal inativo e pensionistas |
2024 |
% |
2025 |
% |
|
Inativos |
R$ 224.423.737,37 |
74,99% |
R$ 239.020.311,67 |
75,80% |
|
Pensionistas |
R$ 58.379.075,64 |
19,51% |
R$ 61.027.967,68 |
19,35% |
|
Exercícios anteriores |
R$ 10.284.410,24 |
3,44% |
R$ 7.313.446,44 |
2,32% |
|
Benefício Especial |
R$ 6.171.921,96 |
2,06% |
R$ 7.951.316,38 |
2,52% |
|
Total |
R$ 299.259.145,21 |
100% |
R$ 315.313.042,17 |
100% |
Fonte: Siafi Gerencial em 6/1/2026.
|
Despesa com pessoal ativo |
2024 |
% |
2025 |
% |
|
Vencimentos e vantagens fixas |
R$ 1.395.222.729,77 |
94,97% |
R$ 1.496.908.563,20 |
94,84% |
|
Previdência Funpresp |
R$ 19.863.645,02 |
1,35% |
R$ 21.849.061,79 |
1,38% |
|
Obrigações Patronais RGPS |
R$ 8.187,12 |
0,001% |
R$ 6.283,92 |
0,0004% |
|
Despesas variáveis |
R$ 25.097.827,81 |
1,71% |
R$ 28.321.712,13 |
1,79% |
|
Exercícios anteriores |
R$ 14.236.492,33 |
0,97% |
R$ 15.473.426,75 |
0,98% |
|
Outras despesas |
R$ 14.655.813,80 |
1,00% |
R$ 15.791.546,10 |
1,00% |
|
Total |
R$ 1.469.084.695,85 |
100,00% |
R$ 1.578.350.593,89 |
100,00% |
Fonte: Siafi Gerencial em 06/01/2026.
Mecanismos de controle e prevenção de irregularidades nos processos na folha de pagamento.
O processo de fechamento da folha de pagamento estrutura-se em três etapas distintas e complementares, observando rigorosamente os princípios de controle interno, em especial o da segregação de funções, em consonância com as orientações do Tribunal de Contas da União (TCU).
Inicialmente, o processo de pagamento encontra-se claramente segregado por áreas de atuação, compreendendo: (i) a gestão cadastral; (ii) o processamento da folha de pagamento propriamente dito; e (iii) a etapa de pagamento. Embora o sistema de gestão de pessoas possua escopo mais amplo que a folha, o acesso às funcionalidades específicas de processamento da folha é restrito a servidores formalmente autorizados, com perfil de acesso específico e que atuam, obrigatoriamente, na área de folha de pagamento.
A primeira etapa de controle consiste na análise de relatórios gerenciais disponibilizados pelo sistema de folha, os quais realizam verificações automáticas de consistência, tais como: identificação de valores negativos, servidores sem dados bancários, rubricas com valores superiores aos limites previamente parametrizados, garantindo que nenhuma rubrica ultrapasse o teto estabelecido. Ademais, o sistema realiza a verificação de eventuais extrapolações do teto constitucional, sinalizando de forma objetiva as matrículas de membros ou servidores que excedam o limite legal.
Concluído o cálculo final da folha, inicia-se a segunda etapa de verificação, cujo objetivo é assegurar que a folha esteja apta para a fase de apropriação contábil. Nessa fase, confirma-se a inexistência de inconsistências contábeis e a compatibilidade entre os totalizadores dos três principais relatórios:
(a) PESENC, relatório consolidado da folha, contendo os valores por tipo de servidor, consignações e informações patronais;
(b) EDA, que apresenta o detalhamento completo dos servidores ativos; e
(c) EDI, que consolida as informações referentes aos servidores inativos.
Estando os três relatórios plenamente coerentes entre si, a folha é considerada apta para apropriação, entendida como a inclusão das informações financeiras no Sistema Integrado de Administração Financeira do Governo Federal (SIAFI).
Ressalte-se que as funcionalidades críticas relacionadas à apropriação e ao fechamento da folha são disponibilizadas a um número restrito de usuários, limitando-se, no caso, a apenas dois servidores, o que reforça os mecanismos de controle e segurança do processo.
Adicionalmente, o sistema de folha disponibiliza, após o fechamento, relatório de auditoria detalhado, que registra todas as operações realizadas desde a abertura da folha, incluindo cálculo efetuado, data, hora, usuário responsável, tipo de processamento, filtros aplicados às matrículas, parâmetros utilizados e o status da folha no momento de cada alteração. Nesse mesmo contexto, há módulo específico que permite a servidor previamente autorizado bloquear a folha imediatamente após a geração dos relatórios definitivos, os quais subsidiam tanto a formalização do processo administrativo da folha quanto o encaminhamento às áreas de apropriação e pagamento.
Por fim, conclui-se que a folha de pagamento se apresenta integralmente auditável em todas as suas fases, desde a abertura e processamento até o pagamento definitivo, materializado pelo crédito dos valores na conta do beneficiário, assegurando transparência, rastreabilidade e conformidade com as normas de controle e governança aplicáveis.
Avaliação de desempenho, remuneração e meritocracia
O desempenho de servidoras e servidores que ocupam cargo de técnico e analista do Ministério Público da União (MPU) é apurado anualmente mediante avaliação de desempenho funcional com base nas Portarias PGR/MPU 298/2003 e 288/2007.
A partir de 2017, o Ministério Público do Trabalho passou a operacionalizar a avaliação de desempenho por meio do Sistema de Avaliação na plataforma do DGP on-line, gerando economia de recursos e celeridade no processo.
A avaliação de desempenho funcional (ADF) subsidia a progressão/promoção funcional de servidoras e servidores na carreira de técnico e analista do MPU, composta por três classes que evoluem ao longo de 13 padrões. Ao ingressar no Ministério Público da União, a servidora e o servidor ocupa a classe A, padrão 1. Anualmente, após resultado da avaliação de desempenho funcional, faz jus à progressão funcional. Por outro lado, a promoção ocorre em dois momentos: da classe A/padrão 3 para classe B/padrão 4 e da classe B/padrão 8 para classe C/padrão 9.
As avaliações de desempenho funcional têm impacto financeiro na progressão e promoção de servidoras e servidores que estejam nos padrões de 1 a 12. Para a progressão, é necessário nota igual ou superior a 3,8 de um total de 5 pontos. Para a promoção, além da nota, são necessárias, no mínimo, 100 horas em cursos de capacitação realizados na classe atual. Após a publicação da Portaria PGR/MPU nº 85/2024, apenas estão dispensados da avaliação de desempenho as servidoras e os servidores que ocupam cargo sem vínculo efetivo.
A avaliação de desempenho funcional se baseia nos seguintes critérios:
-
Relacionamento profissional e humano;
-
Capacidade técnica;
-
Iniciativa e comprometimento com o trabalho;
-
Responsabilidade.
Em 2025, no Ministério Público do Trabalho, 3.161 servidoras e servidores foram avaliados. Desse quantitativo, 1.197 foram avaliados no primeiro semestre e 1.964, no segundo semestre.
Avaliação de Desempenho Funcional em 2025:
-
Servidoras e servidores avaliados: 3.161
-
Pedidos de reconsideração: 28
-
Reprovadas e reprovados: 19 (13 por nota e 6 por falta de horas de capacitação)
-
Recursos: 4
Progressão/promoção funcional
A avaliação funcional é realizada em dois momentos. No mês de março, as servidoras e os servidores que entraram em exercício no Ministério Público da União (MPU) no 1º semestre (de 1º de janeiro a 30 de junho) são avaliados e em setembro, os que entraram em exercício no MPU no 2º semestre (de 1º de julho a 31 de dezembro).
Dos 1.197 servidoras e servidores avaliados no 1º semestre, sete foram reprovados, sendo que um se encontra no último padrão da carreira e dois não apresentaram as 100 horas necessárias para promoção funcional.
Dos 1.964 servidoras e servidores avaliados no 2º semestre, 12 foram reprovados, sendo que cinco se encontram no último padrão da carreira e os outros quatro não apresentaram as 100 horas necessárias para promoção funcional.
Além disso, houve 17 pedidos de reconsideração e três recursos no 1º semestre e 11 pedidos de reconsideração no 2º semestre, além de um recurso administrativo referente ao segundo semestre.
Cabe salientar que, em 2025, as informações disponíveis na página da Seção de Gestão de Desempenho na intranet foram atualizadas, de modo a oferecer conteúdo mais amigáveis, diretos e objetivos na orientação de uso do sistema de avaliação e esclarecimento de principais dúvidas sobre a avaliação funcional.
Foram realizadas 1.196 progressões (mudanças de padrão dentro da mesma classe) e 182 promoções (mudanças de classe).
|
Progressão e promoção funcional |
|
|
Progressão |
1196 |
|
Promoção |
182 |
Estágio probatório
A avaliação de estágio probatório, desde o ano de 2020, é realizada de forma eletrônica, no sistema DGP on-line.
A Seção de Gestão de Desempenho presta suporte diariamente às servidoras e aos servidores em estágio probatório, entrando em contato e oferecendo auxílio a eles e aos avaliadores, além de sanar dúvidas e instruir sobre o preenchimento do plano de desempenho individual e da avaliação de estágio probatório no DGP on-line.
Para facilitar a compreensão do uso do sistema de avaliação, infográficos foram publicados na página da Seção de Gestão de Desempenho do Departamento de Desenvolvimento de Pessoas na intranet. Em 2025, a página passou por atualizações, da mesma forma que ocorreu com a avaliação de desempenho, de modo a oferecer informações mais diretas, dinâmicas e com o objetivo de esclarecer as principais dúvidas sobre a temática do estágio probatório.
Em 2025, o estágio probatório de 50 servidoras e servidores das carreiras de técnico e analista do MPU foram homologados no Ministério Público do Trabalho, resultando na conquista da estabilidade no serviço público.
Atualmente, há 256 servidoras e servidores em estágio probatório no Ministério Público do Trabalho.
|
Estágio probatório |
|
|
Andamento |
256 |
|
Concluídos |
50 |

Gestão de desempenho por competências
O Ministério Público do Trabalho vem realizando algumas ações com o intuito de sensibilizar e preparar membros e membras, servidores e servidoras para o modelo de Gestão de Desempenho por Competências que será implementado em todo o Ministério Público da União.
Entre as ações disponibilizadas tem-se a divulgação de informações sobre o tema “Cultura de Gestão”, criação de manuais, alinhamento constante entre as ações do Programa de Desenvolvimento de Lideranças e as melhorias necessárias para uma melhor liderança de indivíduos e equipes de trabalho.
Em 2024, a Portaria PGT/MPT nº 88/2024 que regulamenta o Acordo de Trabalho no MPT foi publicada e tem a proposta de aprimorar o processo de gestão de desempenho e, consequentemente, nas avaliações, uma vez que requer o alinhamento do trabalho, das metas, prazos e outras definições entre chefias e subordinados(as). Posteriormente, em 08/05/2025, foi publicada a Portaria PGT/MPT nº 605/2025, que passou a utilizar o Acordo de Trabalho como instrumento de planejamento de atividades para todas as modalidades de Trabalho, inclusive não presenciais.
Em 26/11/2025 foi publicada a Portaria PGR/MPU nº 131, que instituiu o Programa de Gestão de Desempenho por Competências no Ministério Público da União. A norma prevê a implementação da Gestão de Desempenho por Competências após a aplicação da Avaliação de Desempenho de 2026, com o uso de sistemas informatizados devidamente adequados aos seus termos, conforme descrito no art. 48.
A supracitada Portaria prevê a realização de todo um ciclo de Gestão de Desempenho, que inclui desde a etapa de acordo de trabalho, passando pelas avaliações de desempenho funcional e de avaliação de estágio probatório, agora em um instrumento único, mais complexo, contemplando inclusive, servidores sem vínculo, com a participação de múltiplos atores, de modo a alterar sobremaneira a forma de avaliar os servidores.
A implementação da Portaria PGR/MPU nº 131/2025 é uma das principais metas da área de gestão de pessoas para o ano de 2026. A operacionalização desse instrumento normativo demandará ações de comunicação interna, orientação às chefias e equipes, bem como adequações sistêmicas e procedimentais, com vistas a assegurar maior alinhamento entre desempenho individual, desenvolvimento profissional e objetivos estratégicos institucionais.
Com o objetivo de viabilizar o desenvolvimento de um sistema apropriado para atender às demandas previstas na Portaria PGR/MPU nº 131/2025, foi solicitado apoio a Secretaria de Tecnologia de Informação e Comunicação do Gabinete do Procurador Geral do Trabalho.
Enquanto se aguarda o posicionamento da Administração, serão desenvolvidas as atividades relativas ao desenho do sistema de gestão de desempenho por competências, tomando-se por referência modelos adotados por órgãos da Administração Pública Federal.
A expectativa é de que a nova sistemática de gestão de desempenho por competências seja operacionalizada tão logo o sistema seja concluído e devidamente testado internamente pelas equipes técnicas responsáveis da área de Gestão de Desempenho e de Tecnologia da Informação.
Gestão de desempenho e trabalho não presencial
O uso do acordo de trabalho como instrumento para o planejamento e acompanhamento das atividades de todas as modalidades de trabalho, inclusive as de trabalho não presencial, foi estabelecida no Ministério Público do Trabalho com a publicação, em 8/5/2025, da portaria PGT/MPT nº 605/2025.
A norma regulamentou o uso do acordo de trabalho em substituição ao plano de trabalho previsto na portaria PGR/MPU nº 78/2024 e instituiu novo modelo de acompanhamento do trabalho não presencial, visando ao aprimoramento desse instrumento e a promoção de um acompanhamento mais efetivo das atividades e metas de servidoras e servidores a cada semestre.
Para melhorar a qualidade das informações sobre o acordo de trabalho e do acompanhamento do trabalho não presencial, foi feita uma parceria entre o Departamento de Desenvolvimento de Pessoas e a área de TI para desenvolver um novo módulo no MPT Digital Administrativo.
O novo módulo, denominado acordo de trabalho, é utilizado para realizar o registro do acordo de trabalho, firmado entre servidoras e servidores e gestoras e gestores, o registro das solicitações e renovações e o acompanhamento do trabalho não presencial, realizado semestralmente. Por meio desse módulo do MPT Digital Administrativo é possível também emitir relatórios para extrair informações sobre as servidoras e os servidores que estão em trabalho não presencial, como o preenchimento dos acordos de trabalho por modalidade de trabalho não presencial e dos respectivos acompanhamentos semestrais.
O novo regimento interno do MPT, publicado em 8/82025, criou o Setor de Gestão das Modalidades de Trabalho, que integra a Seção de Gestão de Desempenho do Departamento de Desenvolvimento de Pessoas. Dentre as principais atribuições do setor destacam-se:
I – propor estudos e melhorias nas regulamentações, alinhamentos e uniformizações a nível nacional para as modalidades de trabalho no Ministério Público do Trabalho;
II – propor instrumentos para o acompanhamento do desempenho dos(as) servidores(as) do Ministério Público do Trabalho conforme a modalidade de trabalho realizada;
III - dar suporte ao acompanhamento do desempenho dos(as) servidores(as) do Ministério Público do Trabalho independente da modalidade de trabalho realizada pelo(a) servidor(a);
IV - apresentar relatórios anuais, e sempre que solicitado, com dados sobre as modalidades de trabalho no âmbito do Ministério Público do Trabalho, obtendo as informações necessárias junto às Unidades Regionais.
Alinhado a essas atribuições, a renovação do trabalho não presencial de todos as servidoras e servidores cujas autorizações tinham validade entre maio e agosto/2025 e haviam sido prorrogadas até a disponibilização da nova funcionalidade no MPT Digital Administrativo, foi promovida em agosto/2025.
No segundo semestre de 2025, as renovações do Trabalho Não Presencial da maior parte dos servidores do MPT foram realizadas utilizando-se o novo módulo do MPT Digital Administrativo.
Até o final de 2025, 3.014 dos 3.914 servidoras e servidores do MPT encontravam-se realizando trabalho não presencial, em todas as modalidades, representando aproximadamente 77% do total de servidoras e servidores do MPT.

Importa destacar que, em 2025, após a implantação do novo módulo de acordo de trabalho do MPT Digital Administrativo, 2.695 pedidos de trabalho não presencial foram realizados entre agosto e dezembro, incluindo renovações e novas solicitações. Os respectivos acompanhamentos de trabalho não presencial referentes ao 1º semestre/2025, para quem já estava realizando alguma das modalidades de trabalho não presencial nesse período, seguindo o novo modelo de acompanhamento aprovado, conforme anexo da Portaria PGT/MPT nº 605/2025, foram também realizados.
Salienta-se que os acordos de trabalho de todas as servidoras e de todos os servidores que solicitaram as renovações do trabalho não presencial nesse período também foram atualizados.
A página do trabalho não presencial na intranet foi atualizada nesse período, contendo as normas, informações e procedimentos para realizar as solicitações e renovações de trabalho não presencial e ainda o passo a passo para preencher o acordo de trabalho e fazer o acompanhamento semestral.
Recrutamento e seleção
O recrutamento e a seleção de pessoas na Procuradoria-Geral do Trabalho constituem instrumentos administrativos voltados à adequada alocação de servidoras e servidores), considerando as necessidades institucionais e as competências técnicas e comportamentais necessárias ao desempenho das atribuições.
Com a publicação do novo regimento interno do Ministério Público do Trabalho, em 2025, houve redefinição das atribuições da Seção de Recrutamento e Seleção, com ampliação de suas competências. A alteração normativa impactou diretamente a atuação da unidade ao longo do exercício, orientando o desenvolvimento de ações relacionadas à recepção, ambientação, acolhimento, recrutamento, seleção e movimentação interna de servidoras e servidores.
Nos termos do regimento interno vigente, à Seção de Recrutamento e Seleção compete, entre outras atribuições, identificar interesses e competências de servidoras e servidores recém-ingressos na Procuradoria-Geral do Trabalho, orientar quanto aos procedimentos de admissão, recepcionar e realizar a ambientação de novas servidoras e servidores, dar suporte às áreas de Gestão de Pessoas das Procuradorias Regionais, promover e gerir processos de movimentação e seleção interna de servidoras e servidores, inclusive para funções de confiança e cargos em comissão, bem como gerenciar o Banco de Talentos do Ministério Público do Trabalho.
No exercício de 2025, 12 processos seletivos internos foram realizados no âmbito da PGT, sendo sete destinados ao provimento de funções de confiança, dois para cargos em comissão, dois para atuação colaborativa e um para a escolha de representante de comissão. No mesmo período, a Seção procedeu à recepção de três servidoras e servidores removidos, dois servidoras e servidores em lotação provisória, três servidoras e servidores requisitados e 18 servidoras e servidores comissionados. Ao final do exercício, registrou-se a nomeação de um servidor para a PGT, tendo sido realizadas, ainda no mesmo ano, as orientações iniciais quanto aos procedimentos administrativos e à documentação pertinente.
Programa Inclua-se
A atuação da Seção de Recrutamento e Seleção compreendeu, em um primeiro momento, a elaboração e o encaminhamento da minuta da portaria destinada à instituição do programa Inclua-se. Após a publicação do ato, a Seção passou a desenvolver as ações administrativas voltadas à implementação do programa, incluindo a estruturação de procedimentos, a definição de fluxos, a produção de materiais orientativos e o apoio às unidades envolvidas, visando à execução das ações previstas no âmbito da Procuradoria-Geral do Trabalho.
Projeto Piloto
Em 2025, projeto piloto de movimentação interna foi iniciado, com o objetivo de estruturar ações voltadas ao remanejamento de servidoras e servidores no âmbito da PGT, observados critérios de transparência, equidade e aderência entre competências individuais e demandas organizacionais, bem como o acompanhamento das servidoras e servidores em suas novas lotações.
No mesmo exercício, projeto piloto de monitoramento da rotatividade de servidoras e servidores teve início, com foco na identificação e análise dos motivos de desligamento da Procuradoria-Geral do Trabalho. Nesta fase inicial, o monitoramento abrange os casos de remoção, vacância e exoneração, com vistas à produção de informações que subsidiem futuras ações de gestão de pessoas.
Programa de Estágio e Programa de Aprendizagem
Programa de Estágio
O acesso ao estágio no Ministério Público do Trabalho (MPT) ocorre por meio de aprovação em seleção pública, obedecida a classificação, conforme determina a Lei 11.788/2008, a Resolução CNMP nº 42/2009 e a Portaria PGR/MPU Nº 172/2024.
As unidades do MPT estão autorizadas a admitir estagiários apenas em áreas de conhecimento vinculadas, direta e indiretamente, às suas atividades desenvolvidas, sendo os estagiários acompanhados por supervisor lotado na área de realização do estágio, que deverá ter formação ou experiência profissional na área de conhecimento do estagiário, ficando limitado a 10 (dez) o número de estagiários por supervisor.

O número de vagas de estágio autorizadas para a contratação no MPT é de 1017 e está previsto na Portaria PGT nº 542/2013. O valor da bolsa de estágio é de R$ 621,32 para estudantes de nível médio, de R$ 1.027,82 para estudantes de nível superior e de R$ 2.055,65 para estudantes de pós-graduação, conforme Portaria SG/MPU nº 20/2023. Além da bolsa, os estagiários recebem um auxílio-transporte no valor de R$11,58/dia estagiado, conforme Portaria SG/MPU nº 20/2023.
A média mensal de estagiários contratados em 2025 foi de 613 e foi gasto no ano o valor de R$ 1.172.649,13 com o pagamento de auxílio-transporte de estagiários e R$ 7.797.699,42 com o pagamento de bolsa de estagiários, totalizando um valor gasto de R$ 8.970.348,55.


Não houve gastos com o pagamento de gratificação para realização de processo seletivo de estágio.
Por fim, cabe destacar que no 1º semestre de 2025 foi realizado um processo seletivo de estágio na PGT para alunos de graduação do curso de Direito.
No processo seletivo, o MPT utilizou uma metodologia inédita em que a seleção dos estagiários foi feita por critérios objetivos de valoração de mérito, na qual a avaliação de desempenho acadêmico foi realizada mediante pontuação predeterminada para atividades acadêmicas e/ou práticas, previamente estabelecidas e expressas em edital conforme previsto na Resolução CNMP nº 290/2024 e Portaria PGT nº 1.342/2024.
Programa de Aprendizagem
A aprendizagem profissional, regulamentada no Brasil pela Lei nº 10.097/2000 e pelos artigos 428 a 433 da Consolidação das Leis do Trabalho (CLT), é uma política pública voltada à formação técnico-profissional de adolescentes e jovens, por meio da combinação entre educação teórica e prática no ambiente de trabalho. Trata-se de um contrato de trabalho especial, com prazo determinado, no qual o aprendiz recebe formação sistemática, acompanhamento pedagógico e direitos trabalhistas e previdenciários garantidos em lei.
Para fortalecer a implementação do programa do MPT, o contrato nº 07/2025 foi celebrado com a Rede Nacional de Aprendizagem, Promoção Social e Integração (Renapsi) tendo por fim a contratação de até 33 jovens aprendizes para execução de atividades em todas as unidades regionais deste Órgão Ministerial, sendo que houve a priorização de pessoas em situação de vulnerabilidade e de minorias sociais.
Ademais, foi estabelecida a seguinte distribuição das vagas ofertadas:
-
5 aprendizes para a Procuradoria-Geral do Trabalho;
-
1 aprendiz para cada Procuradoria Regional do Trabalho e
-
1 aprendiz para Procuradoria do Trabalho Municipal com sede em capital.
Ao final do ano de 2025 o MPT contava com 5 aprendizes ativos no âmbito da Procuradoria-Geral do Trabalho, 22 aprendizes em 22 unidades Regionais e 4 em PTMs de capitais, sendo que deste total 11 vagas eram oriundas de contratos firmados diretamente pelas PRTs mas com previsão de migração gradual para o contrato nacional de aprendizagem mencionado no parágrafo anterior.
A previsão do custo unitário da contratação supracitada é de R$ 2.662,97, alcançando um valor total anual de R$ 1.054.536,12 no caso de preenchimento pleno das vagas possíveis.

Programa de Desenvolvimento de Lideranças
O Programa de Desenvolvimento Lideranças do MPT (PDL) consiste em um conjunto de ações de desenvolvimento e treinamento inter-relacionadas voltadas ao aperfeiçoamento contínuo e sistemático de conhecimentos, habilidades e atitudes requeridas das lideranças de forma alinhada à estratégia organizacional.
Em 2024 foi instituída a Portaria nº 128/2024 que remodelou o antigo Programa de Desenvolvimento de Gestores (PDG) para o Programa de Desenvolvimento de Lideranças (PDL), com um enfoque mais específico no desenvolvimento das lideranças do MPT.
O PDL compreende um conjunto integrado de ações que se dividem majoritariamente em dois grupos:
- Ações de aprendizagem: iniciativas, como cursos, palestras e oficinas, voltadas à aquisição de conhecimentos, habilidades e atitudes de liderança e operacionalizadas pela área de treinamento do MPT;
- Ações de desenvolvimento: iniciativas conduzidas pelas áreas de Gestão de Pessoas do MPT visando ampliar e apoiar continuamente a aplicabilidade de conhecimentos, habilidades e atitudes de liderança, promovendo crescimento pessoal e profissional sustentável.
No exercício de 2025 foram realizadas as seguintes ações de desenvolvimento:
Encontros Temáticos:
Encontro telepresencial por meio da Plataforma Microsoft Teams aberto a todas e todos do MPT sem necessidade de inscrição. A disseminação é dinâmica com atividades interativas, podendo durar até 2 horas.
Em 2025 foram realizadas quatro edições, com os temas:
-
Tempo para a vida (abril)
-
Autoliderar para transformar: a chave da liderança de sucesso (junho)
-
Liderança contextual (agosto)
-
Construindo equipes colaborativas (outubro)
O número total de participantes foi de 148 nos quatro encontros.
Café da Liderança:
Encontro realizado pela Plataforma Microsoft Teams tendo como público-alvo exclusivamente ocupantes de cargo de liderança. O principal objetivo da ação é proporcionar oportunidade para compartilhamentos de desafios e experiências entre as lideranças.
Foram realizadas cinco edições em 2025, com os temas:
-
Tomada de decisões em equipe (fevereiro)
-
As virtudes da boa liderança (março)
-
Por que evitamos conversas difíceis? E o que perdemos com isso? (abril)
-
Acordo de trabalho (julho)
-
Diversidade Geracional (setembro)
Totalizando o número de 180 participantes.
Websérie MPTed: desenvolvendo lideranças - 6ª edição:
A Websérie MPTed: Desenvolvendo Lideranças é uma iniciativa voltada principalmente para lideranças, mas aberta à participação de membros, membras, servidores e servidoras interessados. Com duração de 2 horas, é transmitida pelo canal oficial do MPT no YouTube, permitindo amplo acesso e flexibilidade. Os temas abordados permanecem atuais, sendo recomendados como complemento a outras ações do Programa de Desenvolvimento de Liderança (PDL).
Em 2025 o MPTed foi constituído por quatro palestras com os temas e palestrantes:
-
Liderança Feminina - Isabella Medeiros e Myriam M. Negromonte;
-
Liderança e Sustentabilidade – Renata Lacerda e Patrícia Rambo;
-
Gestão de equipes híbridas - Carlos Alberto L. Oliveira e Janio D. Lopes
-
Inteligência Artificial e a liderança – Rodrigo Narciso
O MPTed em 2025 alcançou 1.235 visualizações (contagem realizada em 17 de dezembro de 2025).
Cabe destacar que, em 2024, o MPTed foi realizado no mês de agosto, enquanto, em 2025, ocorreu no mês de novembro, o que impactou diretamente o tempo de exposição dos conteúdos ao público e, consequentemente, resultou em redução no quantitativo de visualizações das palestras no exercício corrente.
Liderança em Foco:
O Liderança em Foco é uma ação cujo objetivo é definir estratégias para as lideranças enfrentarem os desafios identificados a partir da contribuição de diferentes perspectivas dos participantes, bem como do Programa de Desenvolvimento de Lideranças.
A ação consiste em reuniões por videoconferência, com duração de até 2h30 nas quais os participantes utilizam metodologia específica para analisar e solucionar desafios compartilhados. Em 2025, realizamos duas turmas com a participação de 8 Diretores(as) Regionais em uma turma e 8 Diretores(as) de Gestão de Pessoas na outra, além da equipe do PDL que atuou de maneira consultiva.
As reuniões eram realizadas quinzenalmente e em cada encontro um Diretor apresentou, resumidamente, seu contexto organizacional e os principais desafios que acometiam a sua unidade (PRT). Após a apresentação, seguíamos com uma rodada de perguntas com as quais os demais participantes buscavam explorar o contexto organizacional para entender melhor as necessidades e encontrar soluções adequadas. Por fim, um plano de ação era criado considerando as melhores sugestões. Na reunião seguinte o Diretor da reunião anterior apresentava o que já havia sido realizado e os resultados do plano de ação nesse ínterim.
Além das ações de desenvolvimento, o Programa ofertou os seguintes cursos, na modalidade EAD, em parceria com a Secretaria de Treinamento e Formação Continuada (Setef):
-
Liderança: um ponto de partida: treinamento à distância, autoinstrucional, com 40 horas. Houve 48 concluintes.
-
A ciência da felicidade e o bem-estar no trabalho: curso de 30 horas, na modalidade a distância autoinstrucional. Houve 140 concluintes.
-
Inteligência emocional e social no liderar: curso de 20 horas, na modalidade a distância autoinstrucional. Houve 68 concluintes.
-
Introdução à Comunicação não violenta: curso de 20 horas, na modalidade a distância autoinstrucional. Houve 51 concluintes.
-
Comunicação não violenta para lideranças: curso de 20 horas, na modalidade a distância autoinstrucional. O curso tem como pré-requisito a conclusão de cursos básicos sobre o tema. Houve 80 concluintes.
-
Acordo de trabalho: curso de 20 horas, na modalidade a distância autoinstrucional. Houve 61 concluintes.
-
Curso introdutório de feedback: curso de 30 horas, na modalidade a distância autoinstrucional. Houve 32 concluintes.
-
Novas Ferramentas Tecnológicas de Gestão: curso de 20 horas, na modalidade a distância autoinstrucional. Houve 16 concluintes.
-
Gestão de Conflitos: curso de 20 horas, na modalidade a distância autoinstrucional. Houve 108 concluintes. (lançado no segundo semestre de 2024).
Cursos Homologados na Plataforma E.VG/ENAP
No que se refere aos Cursos Homologados na Plataforma EV.G/ENAP, validados pelo PDL para composição de trilhas formativas internas
-
E-Liderança: como gerenciar e liderar equipes em ambientes remotos;
-
Mulheres na liderança: potencialize suas habilidades e impulsione a mudança;
-
Autoconhecimento e Motivação.
O quantitativo de participantes por unidade foi assim distribuído:
-
PRT da 3ª Região (MG): 2 participantes.
-
PRT da 21ª Região (RN): 1 participante.
-
PRT da 17ª Região (ES): 1 participante.
-
PRT da 20ª Região (SE): 2 participantes.
-
PRT da 2ª Região (SP): 1 participante.
-
PRT da 9ª Região (PR): 2 participantes.
-
PRT da 4ª Região (RS): 2 participantes.
Ao todo, foram contabilizados 11 participantes oriundos de 7 Regionais distintas, evidenciando a adesão descentralizada das unidades às trilhas formativas complementares do Programa de Desenvolvimento de Lideranças.
Liderança na Prática / PDL +
Conteúdos produzidos para apoiar líderes em suas práticas de gestão:
- Segurança psicológica;
- Construindo equipes colaborativas; e
- Gestão de riscos.
Informativos instrucionais e divulgações do PDL
Ressalta-se que, além das ações de desenvolvimento e dos cursos, foram disponibilizados 11 informativos instrucionais nas Newsletters do DDP, abordando temas relevantes para as lideranças do MPT, bem como realizadas mais de 136 divulgações de cursos autoinstrucionais e de ações de desenvolvimento de lideranças, tanto por meio do e-mail institucional do PDL quanto nas Newsletters do DDP. Essas iniciativas contribuíram para a disseminação do conhecimento, a ampliação da visibilidade das ações do Programa e o desenvolvimento de competências no âmbito do MPT.
Turma Piloto – Farol da Liderança (PRT 2ª Região)
Além das ações supracitadas, o Programa de Desenvolvimento de Lideranças (PDL) realizou, em 2025, a Turma Piloto da ação Farol da Liderança, na Procuradoria Regional do Trabalho da 2ª Região (PRT-2), com a participação de 25 lideranças.
O Farol da Liderança é uma ação de desenvolvimento voltada ao fortalecimento da prática da liderança no cotidiano institucional, concebida como um espaço estruturado de reflexão, troca de experiências e apoio mútuo entre lideranças. A iniciativa tem como foco oferecer direcionamento e clareza para o exercício da liderança em contextos organizacionais complexos, estimulando a autoconsciência, a corresponsabilização e a tomada de decisão alinhada aos valores institucionais do MPT.
A turma piloto teve como objetivo testar e validar o desenho metodológico da ação, bem como avaliar sua aderência às necessidades das lideranças regionais, subsidiando o aprimoramento da metodologia e orientando futuras decisões quanto à ampliação da iniciativa no âmbito do Programa de Desenvolvimento de Lideranças.
Contabilizadas todas as ações do Programa, ele obteve 2219 participações ao longo de 2025, abrangendo 615 participações em cursos e 1604 em ações de desenvolvimento.
Desafios e ações perspectivas do PDL
Como principal desafio, identificou-se a necessidade de ampliar a participação de membros e membras da Instituição nas ações ofertadas, de modo a fortalecer a cultura de desenvolvimento contínuo das competências de liderança.
Entre as metas ainda em processo de consolidação, destacam-se a atualização do portfólio de cursos autoinstrucionais do Programa e a ampliação da oferta de ações presenciais no âmbito da PGT e das Procuradorias Regionais do Trabalho.
Para os próximos exercícios, pretende-se intensificar estratégias de engajamento do público-alvo, promover a revisão e modernização dos conteúdos formativos e ampliar a capilaridade das ações presenciais, conferindo maior alinhamento às demandas institucionais.
Demais ações estratégicas de Gestão de Pessoas
Em 2025, buscou-se seguir com projetos iniciados em 2023 e aprimorar as ações já existentes e destacadas na Política Nacional de Gestão de Pessoas do MPT (Portaria MPT nº 1.321/2018).
Dimensionamento da Força de Trabalho - DFT
Durante o ano de 2025, o Projeto de Gestão da Força de Trabalho no MPT, baseado na experiência do ciclo de DFT 2023-2024 da PGT, concentrou-se no aprimoramento do sistema de Dimensionamento da Força de Trabalho. Busca-se facilitar e agilizar a fase de levantamento de dados, ampliar a disponibilidade das informações de dimensionamento e tornar os ciclos de DFT mais fluidos e periódicos.
Após análises e discussões, a equipe de Dimensionamento da Força de Trabalho (DFT) sugeriu a troca de sistema, substituindo o sistema Worke pelo sistema Galera.App – em uso no MPF e no MPDFT – fundamentado nos seguintes benefícios:
-
Padronização da metodologia de DFT aplicada no MPU;
-
Redução e economia de gastos;
-
Melhor aproveitamento dos dados levantados durante o dimensionamento;
-
Integralização das etapas, excluindo a necessidade de uso de ferramentas externas.
A solicitação de contratação do sistema Galera.App foi encaminhada à Secretaria de Tecnologia da Informação e Comunicação e encontra-se em apreciação pela referida área.
Em 2025, a equipe de DFT recebeu demandas das PRT 10ª e PRT 17ª para a aplicação da metodologia em suas respectivas unidades. Esse fato não apenas ratifica a importância estratégica do projeto, como também confirma a necessidade de sua expansão institucional. Diante da magnitude e da capilaridade do Ministério Público do Trabalho, é importante que a expansão ocorra de forma gradativa e estruturada. Nesse sentido, a equipe de DFT dedica-se à busca de soluções que viabilizem o alcance desse objetivo de maneira sustentável nos próximos anos.
Gestão por Competências - GC
Em 2025, o Ministério Público do Trabalho (MPT) deu continuidade ao aprimoramento do seu modelo de Gestão por Competências, com foco na revisão e reformulação das competências comuns. A iniciativa decorreu de diagnósticos realizados em ciclos anteriores, que evidenciaram a necessidade de maior clareza conceitual, simplificação dos instrumentos avaliativos, por meio da redução e objetividade dos critérios de avaliação, e fortalecimento da aplicabilidade transversal das competências no cotidiano institucional.
O trabalho teve como principais objetivos revisar o rol de competências comuns vigente, propor nova nomenclatura alinhada às boas práticas de gestão e avaliação por competências e estruturar o modelo a partir da diferenciação entre competências comuns essenciais — indispensáveis a todos os integrantes do MPT — e competências comuns complementares — aplicáveis conforme as necessidades e especificidades das áreas. Essa diferenciação contribui para instrumentos avaliativos mais enxutos, ao concentrar a avaliação nas competências efetivamente essenciais, ampliando a clareza e a consistência do processo.
A metodologia adotada foi estruturada em etapas integradas, envolvendo análise de documentos normativos e institucionais, revisão das competências comuns existentes, verificação das competências utilizadas nos ciclos de avaliação de desempenho e nos editais de recrutamento e seleção, além de adequação conceitual e terminológica, fundamentada em referenciais teóricos consolidados da área.
A validação das competências ocorreu em duas etapas (qualitativa e quantitativa). Na fase qualitativa, em junho de 2025, foram realizados sete grupos focais telepresenciais com representantes de diversas unidades, abrangendo áreas finalísticas e de apoio, permitindo ajustes de redação, refinamento conceitual e maior alinhamento das competências à realidade institucional.
Como resultado do processo conduzido em 2025, foi consolidado um rol de cinco Competências Comuns Essenciais do MPT: Diversidade, Ética, Foco nos Resultados, Abertura a Mudanças e Comunicação. O trabalho reforça o caráter participativo da Gestão por Competências e estabelece bases sólidas para a utilização dessas competências como referência nos processos de avaliação de desempenho, desenvolvimento, capacitação e demais práticas de gestão de pessoas no âmbito institucional.
Trilhas de aprendizagem
Em 2025, a publicação da Portaria PGT/MPT nº 140/2025, que regulamenta as Trilhas de Aprendizagem no Ministério Público do Trabalho, representou um marco na consolidação de uma estratégia institucional voltada ao desenvolvimento contínuo de competências alinhadas ao planejamento estratégico e à Política de Gestão de Pessoas do MPT. As Trilhas de Aprendizagem foram concebidas com o objetivo de ampliar e qualificar as oportunidades de desenvolvimento profissional e pessoal de membros e servidores, por meio da disponibilização de recursos diversificados de aprendizagem, contemplando ações educacionais formais e informais, internas e externas à Instituição. Além disso, visam aprimorar a gestão do conhecimento produzido no âmbito do MPT, estimular o desenvolvimento autogerenciado, voluntário, ativo e permanente, bem como racionalizar custos e otimizar o atendimento às demandas institucionais relacionadas à capacitação e ao desenvolvimento de pessoas.
Nesse contexto, as principais atividades realizadas ao longo do ano de 2025 foram iniciativas voltadas à estruturação, implementação e fortalecimento das Trilhas de Aprendizagem no âmbito do MPT. Entre as ações desenvolvidas, destaca-se a elaboração do processo e do fluxo de trabalho das trilhas de aprendizagem, com a definição de etapas, atividades e formulários destinados à gestão, execução e avaliação dessas iniciativas, contribuindo para a padronização e a sustentabilidade do modelo adotado. Também foi concluída a implementação da trilha de aprendizagem “Curadoria do Conhecimento” no ambiente Moodle, ampliando o acesso a recursos educacionais estruturados e alinhados à estratégia institucional. Além disso, foram realizadas ações de orientação e acompanhamento do desenvolvimento da trilha de Lideranças, que se encontra em fase de elaboração, com foco no alinhamento conceitual, metodológico e institucional da proposta.
Programa de Preparação para a Aposentadoria
O Programa de Planejamento de Vida e de Preparação para o Envelhecimento Ativo e para a Conquista da Aposentadoria - Planeje-se foi instituído no âmbito do Ministério Público do Trabalho (MPT) por meio da publicação da Portaria n.º 1.426/ 2020.
Ele tem como finalidade promover ações que contribuam para que integrantes do MPT possam vivenciar de forma positiva a sua relação com o trabalho e com a longevidade.
Nesse sentido, busca a conscientização e ampla divulgação sobre a importância do envelhecimento ativo e da preparação para a aposentadoria, desde o início da carreira, com reflexões sobre prioridades de vida, cultivo de relacionamentos e preparação financeira, física e psicológica.
Para tanto, o Planeje-se foi organizado destacando as seguintes perspectivas:
-
Planejamento de vida: entender que a etapa da vida que corresponde à aposentadoria é fortemente impactada pelas etapas anteriores, e, portanto, estimular o planejamento e a consecução de ações que direcionem para os objetivos de vida desejados, a curto, médio e longo prazos.
-
Envelhecimento Ativo: contribuir para pensar e viver de forma saudável física e mentalmente, dentro e fora do trabalho, e fazer escolhas de vida mais conscientes.
-
Conquista da Aposentadoria: reconhecer a pessoa e prepará-la para permanecer em atividade, se assim o desejar, e/ou aposentar-se.
O Programa também é fundamentado no reconhecimento intergeracional e nas reflexões sobre o trabalho em cada fase da vida, valorizando a aposentadoria como escolha subjetiva e conquista de cada pessoa.
Quanto ao ano de 2025, especificamente, foram realizadas as seguintes ações:
Oferta de Cursos Autoinstrucionais:
-
Série Autoinstrucional I - Módulo: Reflexão pessoal e autoconhecimento e Módulo: Legislação Previdenciária;
-
Série Autoinstrucional II - Módulo: Educação Financeira e Módulo: Envelhecimento: Sobre Trabalho e Direitos;
-
Série Autoinstrucional III - Módulo: Saúde e Bem-estar.
Realização da 2ª Conferência sobre a Pessoa Idosa Trabalhadora:
-
direitos humanos, envelhecimento e enfrentamento ao idadismo (em alusão ao Dia Mundial de Conscientização da Violência Contra a Pessoa Idosa).
Inclusão de cursos realizados pela Escola Nacional de Administração Pública – ENAP
como ações pertencentes ao Programa. Ao cadastrar o curso no Sistema de Adicional de Qualificação, caso a pessoa indicasse que se tratava de um curso homologado pelo DDP, ele também foi contabilizado nos indicadores do Planeje-se. No exercício de 2025 foram incorporados os seguintes cursos da ENAP:
-
Preparação para aposentadoria – Caminhos;
-
Educação financeira pessoal;
-
Gestão de finanças pessoais;
-
Tesouro direto; e
-
Me poupe! Invista com Nathalia Arcuri.
Lançamento de três novas ações de desenvolvimento:
-
Entre Linhas: A partir da leitura de materiais escritos lidos previamente pelos participantes, promoveu conversas sobre diferentes dimensões do planejamento de vida, contando com a presença de especialistas nos temas tratados. Foram realizadas duas edições com os temas: “Educação financeira para um planejamento de vida melhor” e “Viver bem começa agora: cultivando os pilares de uma saúde que floresce”.
-
Diálogos Inspiradores: Momento de conversa e troca de experiências entre os(as) participantes para promover a interação e a reflexão sobre os temas tratados. Foram ofertadas duas edições com os temas: “O futuro começa hoje: como está seu planejamento de vida?” e “O que o trabalho representa na sua vida? Um convite à reflexão sobre escolhas e futuro”.
-
A vida em Tela: a partir de recursos audiovisuais previamente assistidos pelos participantes, realizou debates sobre temáticas pertinentes ao Programa. Foram ofertadas duas edições com os temas: “O papel das emoções na construção da trajetória de vida” e “Relacionamentos e planejamento de vida”.
Continuidade do Clube de Leitura, em parceria com a Biblioteca da Procuradoria-Geral do Trabalho, com abrangência nacional. Em 2025, foram ofertadas três edições do Clube, sendo uma comemorativa do aniversário do Clube.
Oferta da Orientação Financeira: foram promovidos dois processos seletivos em parceria com a Seção de Recrutamento e Seleção para formação de Banco de interessados(as) em atuar como orientador(a) financeiro, assim como processo seletivo para composição de Banco de interessados(as) na orientação financeira do Programa Planeje-se. Os orientadores selecionados realizaram a orientação dos interessados cadastrados conforme a disponibilidade de cada orientador.
Realização da Avaliação de Saúde Pré-aposentadoria na Procuradoria-Geral do Trabalho, em parceria com a Diretoria de Assistência Integral à Saúde.
Disseminação de conhecimentos sobre a importância do envelhecimento ativo, da preparação para aposentadoria e de um planejamento de vida mais amplo, incentivando reflexões sobre prioridades, cultivo de relacionamentos e preparação financeira, física e psicológica, bem como outras temáticas relativas ao Planeje-se. No exercício de 2025, o compartilhamento de conteúdo e dicas foi realizado por meio da Newsletter semanal do Departamento de Desenvolvimento de Pessoas, que é enviada por e-mail para todos os servidores (as) e membros (as).
Cabe destacar que o Planeje-se ampliou, em 2025, o alcance de suas ações para incluir aprendizes, terceirizadas e terceirizados, bem como membras, membros, servidoras e servidores aposentados nas ações pertinentes. A participação de estagiárias e estagiários já era facultada na maioria das ações. Contudo, o foco prioritário do programa continuou sendo o corpo de membros e servidores na ativa.
Desafios e ações perspectivas do Planeje-se
No âmbito do Programa Planeje-se, verificou-se como principal desafio a ampliação do escopo de atuação, de modo a alcançar integrantes da Instituição que ainda não se encontram em fase de aposentadoria, promovendo uma cultura de planejamento de carreira e de vida funcional de forma mais antecipada e estruturada.
Entre as ações previstas, incluem-se a atualização do conjunto de cursos autoinstrucionais do Programa e a realização de oficinas direcionadas às pessoas que se encontram em fase mais próxima da aposentadoria, com foco em planejamento financeiro, aspectos psicossociais e organização do projeto de vida pós-carreira.
Para os próximos exercícios, busca-se consolidar o Programa como política institucional permanente de preparação e transição de carreira, ampliando seu alcance e impacto.
Comunicando a Gestão de Pessoas MPT
No ano de 2025, o DDP estruturou e consolidou um conjunto de ações voltadas à comunicação institucional de seus serviços, com abordagem mais detalhada e objetiva. O objetivo foi assegurar que servidores(as) e membros(as) tivessem acesso a informações claras e organizadas sobre o que é ofertado pelo Departamento, como utilizar cada serviço e onde encontrar as orientações necessárias.
Um eixo relevante desse trabalho foi o aprimoramento da apresentação de informações na Intranet, com ajustes voltados à organização, à navegabilidade e à padronização dos conteúdos. Buscou-se tornar a experiência mais dinâmica e acessível, com linguagem objetiva e simples e estruturação de seções, além da inclusão de diferentes formatos de comunicação — como vídeos, infográficos e áreas com dúvidas frequentes — para apoiar a compreensão e o encaminhamento de demandas.
As newsletters também se consolidaram como elemento central da estratégia de comunicação do DDP. Em 2025, as edições foram estruturadas em quatro blocos fixos, com o objetivo de conferir previsibilidade e facilitar a leitura: (I) informações factuais; (II) bloco com alternância entre notícias relevantes e orientações essenciais sobre o Programa de Desenvolvimento de Lideranças e Planeje-se; (III) divulgação de cursos do DDP; e (IV) lembretes e chamadas institucionais. Esse formato contribuiu para a manutenção de um canal periódico e consistente de comunicação com o público-alvo do Departamento.
Além das entregas realizadas na Intranet e das newsletters, foram produzidos e divulgados outros materiais ao longo do ano, como cartilhas, documentos de apoio e comunicações específicas (na intranet e por e-mail) relacionadas às iniciativas das diferentes seções do DDP. Em todas as ações, priorizou-se uma comunicação institucional, direta e orientada ao serviço, com atenção à clareza e à utilidade das informações para servidores(as) e membros(as).
Treinamento e Formação Continuada
Capacitação: estratégia e números
O Plano de Capacitação de Pessoal do MPT (PCP) abrange um conjunto de ações de capacitação internas e externas que visam ao desenvolvimento das competências necessárias para a atuação de membros e membras, servidores e servidoras, em consonância com a missão, a visão e os valores institucionais. Está pautado na Portaria MPT 127/2006, que trata do Plano de Capacitação do MPT, e na Portaria MPU nº 198/2011, que regulamenta o Programa de Treinamento, Desenvolvimento e Educação do Ministério Público da União.
Para a implementação do PCP 2025, foram consideradas as diretrizes estabelecidas para adequação quanto ao planejamento e ao orçamento em consonância com o Plano Anual de Aquisições e de Contratações, tendo sido diagnosticadas mais de 100 necessidades de treinamentos diversos.
Entre as principais ações nacionais realizadas em 2025, cabe destacar mais de 76 capacitações para a área finalística, com temas como Visual Law, precedentes vinculantes do STF na área trabalhista, programa de formação de assessoria de gabinete e programa de formação de assistente de gabinete.
Seguem abaixo os principais números em 2025, extraídos do relatório de ações de capacitação realizadas tanto pela Procuradoria-Geral do Trabalho, de alcance nacional, quanto pelas Procuradorias Regionais do Trabalho:
-
180 ações de capacitação;
-
9.040 alunos(as) capacitados;
-
2.643 Membros(as) e servidores(as) distintos capacitados;
-
69,69% dos(as) Membros(as) e servidores(as) capacitados;
-
42,22% das ações relacionadas à área finalística.
É importante salientar que, das capacitações concretizadas, 104 estavam previamente incluídas no planejamento feito pela Procuradoria-Geral do Trabalho e pelas Procuradorias Regionais, ao passo que 76 ações decorreram de necessidades e demandas estratégicas que surgiram ao longo do ano.
Tabela: Total de capacitações realizadas
|
|
Incluídas no Planejamento |
Não incluídas no planejamento |
Total de ações |
|
Capacitações realizadas |
104 (57,77%) |
76 (42,23%) |
180 |
No que tange às modalidades de desenvolvimento profissional executadas no exercício de 2025, ressalta-se a relevância estratégica das ações de Ensino a Distância (EaD), viabilizadas pela plataforma Moodle do MPT. Com um portfólio de 60 capacitações em regime de disponibilidade permanente, essa modalidade garantiu o acesso equânime ao conhecimento para membros(as) e servidores(as) em todas as Unidades do MPT. O volume de cursos autoinstrucionais representa 33% do total das ações realizadas no período. Tal indicador consolida o EaD como ferramenta essencial para a mitigação de lacunas de competência e para a promoção de uma cultura de aprendizagem contínua e assíncrona no âmbito da Instituição.
Capacitação com parceiros
Alinhado às diretrizes de fomento à educação corporativa e à gestão por competências, o MPT realiza capacitações estratégicas viabilizadas por meio de intercâmbio institucional. Essa estratégia fundamenta-se no Princípio da Economicidade, uma vez que o compartilhamento de recursos e saberes com outros órgãos públicos e instituições de ensino permite a oferta de conteúdos de alta qualidade técnica com otimização de custos operacionais. Além disso, tal prática promove a integração entre Escolas de Governo, fortalecendo a rede de cooperação do setor público e garantindo que membros(as) e servidores(as) tenham acesso a oportunidades de aperfeiçoamento e de pós-graduação que estimulam a disseminação transversal do conhecimento institucional.
No exercício de 2025, essa política de cooperação resultou na integração de três importantes itinerários formativos ao ecossistema de aprendizagem da plataforma EaD, expandindo as trilhas de conhecimento oferecidas a membros(as) e servidores(as):
-
Curso de Infâncias Protegidas;
-
Curso de Assédio Eleitoral nas Relações de Trabalho;
-
Curso de Pesquisa de Jurisprudência TST; e Curso de Tópicos de Sintaxe da Língua Portuguesa.
Bolsas de Pós-Graduação
No ano de 2025, houve a continuidade do pagamento das bolsas referentes aos Editais nº 129/2023 SETEF– pós-graduação - membros (as) e nº 128/2023 Setef – pós-graduação - servidores (as). Foram disponibilizadas 10 bolsas em cada edital, sendo estabelecida prioridade para pós-graduações stricto sensu.
Em ambos os processos seletivos, foram oportunizadas bolsas de até 70% do valor do curso para cursos lato sensu e de até 90% para cursos stricto sensu, desde que a cota de participação do MPT não excedesse R$ 30.000,00, para cursos lato sensu, e R$ 80.000,00 para stricto sensu.
Em 2025, receberam a bolsa de pós-graduação o total de 2 (dois) membros e 8 (oito) servidores, sendo 10 (dez) bolsas para pós-graduação stricto sensu.
Programa de incentivo aos estudos
O Programa tem por objetivo incentivar o aperfeiçoamento profissional, mediante custeio parcial de cursos de línguas estrangeiras e Língua Brasileira de Sinais - LIBRAS, em consonância com a Portaria PGT/MPT n° 1.669/2022.
Em 2025, foi autorizada a prorrogação do Edital Nº 108/2023 SETEF, que regulamentou a oferta inicial de 39 bolsas para o custeio de até R$ 300,00, para quem estava cursando curso de LIBRAS. Houve a contemplação de 1 servidora com tal benefício.
Gestão de custos
A Assessoria de Gestão de Custos realiza um monitoramento diário dos custos da PGT e das Procuradorias Regionais do Trabalho em todo o território nacional, utilizando dados do Tesouro Gerencial. Esses dados são apresentados em planilhas e painéis interativos de Business Intelligence(BI).
A análise dos dados de 2024 revelou uma redução dos gastos da ordem de 31,65% com relação ao exercício de 2023. Já em 2025, houve um acréscimo de 7,56 % nos custos totais em comparação com o ano de 2024. É importante esclarecer que o custo com pessoal não faz parte do escopo.
Desta forma, fazemos a seguir um resumo dos custos incorridos nos exercícios de 2023, 2024 e 2025:
|
Custos |
2023 |
2024 |
2025 |
|
Finalístico |
134.165.809 |
66.962.139 |
69.010.358 |
|
Ações de apoio |
47.485.876 |
57.189.580 |
65.246.890 |
|
Total |
181.651.685 |
124.151.719 |
133.537.237 |
|
Descrição de Custos por UG - 2025 |
|||
|
UNIDADE |
CUSTO FINÁLISTICO |
CUSTOS DAS AÇÕES DE APOIO |
CUSTO TOTAL |
|
DA-PGT |
19.277.091 |
22.054.579 |
41.331.670 |
|
01 PRT -RJ |
4.391.668 |
5.024.430 |
9.416.098 |
|
02 PRT -SP |
3.113.470 |
815.199 |
3.928.669 |
|
03 PRT -MG |
6.700.872 |
1.433.229 |
8.134.101 |
|
04 PRT -RS |
7.089.641 |
1.143.597 |
8.233.238 |
|
05 PRT -BA |
2.159.836 |
2.461.123 |
4.620.959 |
|
06 PRT -PE |
620.495 |
2.161.995 |
2.782.490 |
|
07 PRT -CE |
971.428 |
1.639.253 |
2.610.681 |
|
08 PRT -PA |
1.501.448 |
1.934.360 |
3.435.808 |
|
09 PRT -PR |
3.502.243 |
1.744.734 |
5.246.977 |
|
10 PRT -DF |
3.370.560 |
651.588 |
4.022.148 |
|
11 PRT -AM |
860.719 |
1.218.312 |
2.079.031 |
|
12 PRT -SC |
679.966 |
2.136.681 |
2.816.647 |
|
13 PRT -PB |
473.843 |
813.770 |
1.287.613 |
|
14 PRT -RO |
1.153.675 |
1.519.964 |
2.673.639 |
|
15 PRT -CAMPINAS/SP |
6.087.941 |
5.436.558 |
11.524.499 |
|
16 PRT -MA |
1.282.498 |
1.719.605 |
3.002.103 |
|
17 PRT -ES |
867.287 |
1.372.030 |
2.239.317 |
|
18 PRT -GO |
1.219.810 |
2.024.365 |
3.244.175 |
|
19 PRT -AL |
487.290 |
1.102.562 |
1.589.852 |
|
20 PRT -SE |
440.151 |
957.153 |
1.397.304 |
|
21 PRT -RN |
914.464 |
1.647.060 |
2.561.524 |
|
22 PRT -PI |
638.746 |
1.079.236 |
1.717.982 |
|
23 PRT -MT |
484.878 |
1.291.232 |
1.776.110 |
|
24 PRT -MS |
587.350 |
1.277.252 |
1.864.602 |
|
TOTAL DO CC |
68.877.370 |
64.659.867 |
133.537.237 |
Sustentabilidade Socioambiental

O Relatório de Monitoramento das Ações Socioambientais – MASA 2025 tem por finalidade apresentar, de forma sistematizada, transparente e alinhada às diretrizes institucionais, os resultados do acompanhamento das ações socioambientais desenvolvidas no âmbito do Ministério Público do Trabalho (MPT) ao longo do exercício de 2025.
Este relatório dá continuidade ao modelo adotado no Relatório MASA 2024, incorporando, entretanto, as atualizações decorrentes da entrada em vigor do Plano de Logística Sustentável do MPT 2025–2030 (PLS-MPT 2025–2030). Dessa forma, o documento passa a refletir a nova estrutura de eixos temáticos, indicadores, metas e iniciativas definidos no PLS vigente, consolidando o MASA como instrumento oficial de monitoramento, avaliação e prestação de contas da gestão socioambiental do MPT.
O Relatório MASA 2025 reafirma o compromisso institucional com a sustentabilidade, com a eficiência no uso de recursos públicos, com a promoção do bem-estar no ambiente de trabalho e com a observância das melhores práticas de governança, em consonância com a Agenda 2030 da Organização das Nações Unidas, o Planejamento Estratégico do MPT 2023–2030 e as orientações dos órgãos de controle.
Conformidade legal (legislação aplicada)
I. Portaria nº 2.184/2023, constituída pela Portaria nº 1.157/2020, que institui o Grupo de Trabalho Multidisciplinar de Gestão Socioambiental, denominado GT Socioambiental (Gestão A3P);
II. Portaria nº 2.391/2023, que prorroga a vigência do Plano de Logística Sustentável (PLS) até 31/12/2024;
III. Portaria nº 1.051/2021, que dispõe sobre a alteração da Portaria nº 1.157/2020, que instituiu o Grupo de Trabalho Multidisciplinar de Gestão Socioambiental, denominado GT Socioambiental (Gestão A3P);
IV. Portaria nº 1.157/2020, que constitui o Grupo de Trabalho Multidisciplinar de Gestão Socioambiental, denominado GT Socioambiental (Gestão A3P), para implementação do Plano Logístico Sustentável (PLS) do Ministério Público do Trabalho 2019/2022 e da Agenda Ambiental da Administração Pública (A3P) 2020-2025, de modo a promover, conscientizar e melhorar o controle dos indicadores sustentáveis relacionados às ações descritas no PLS do MPT, com observância das diretrizes estabelecidas na A3P e no Programa MPT Socioambiental;
V. Portaria nº 770/2020, que dispõe sobre a designação da Subprocuradora-geral do Trabalho Teresa Cristina D’Almeida Basteiro, para o encargo de secretária adjunta de Gestão Socioambiental do gabinete do procurador-geral do Trabalho;
VI. Portaria n° 50/2020, que altera a denominação da Assessoria de Gestão Socioambiental do gabinete do procurador-geral do Trabalho para Secretaria de Gestão Socioambiental do gabinete do procurador-geral do Trabalho com o reposicionamento entre as demais secretarias;
VII. Portaria nº 1.784/2019, em seu artigo 1º, que designa a procuradora regional do Trabalho Cynthia Maria Simões Lopes, para o encargo de Assessora ou Secretária de Gestão Socioambiental do gabinete do procurador-geral do Trabalho;
VIII. Portaria nº 800/2019, que dispõe sobre a alteração da Portaria PGT nº 531/2014, que instituiu o Programa MP Socioambiental;
IX. Portaria nº 386/2016, que altera os artigos 3º, 4º e 5º da Portaria nº 531/2014, conforme recomendação do procurador-geral do Trabalho;
X. Portaria nº 563/2010, que estabelece que as Comissões de Gestão Socioambiental da PGT e das PRTs devem elaborar e publicar seus respectivos regimentos internos, contemplando a composição, a atribuição e o funcionamento das respectivas comissões.
Gestão socioambiental
Capacitações em gestão ambiental e campanhas de conscientização
Em cumprimento à Política Nacional de Gênero, Raça e Diversidade no âmbito do Ministério Público do Trabalho, os Comitês de Equidade Nacional e Regionais promoveram, no ano de 2025, 315 campanhas e 18 capacitações sobre os temas.
|
Unidade administrativa |
Total de servidores capacitados em temas da Gestão Socioambiental |
Indicador de resultado. Quantidade de curso ou capacitação voltados a temas socioambientais. |
|
PGT |
343 |
0 |
|
PRT da 1ª REGIÃO |
0 |
0 |
|
PTM de Cabo Frio |
0 |
0 |
|
PTM de Campos dos Goytacazes |
0 |
0 |
|
PTM de Itaguaí |
0 |
0 |
|
PTM de Niterói |
0 |
0 |
|
PTM de Nova Friburgo |
0 |
0 |
|
PTM de Nova Iguaçu |
0 |
0 |
|
PTM de Petrópolis |
0 |
0 |
|
PTM de Volta Redonda |
0 |
0 |
|
PRT da 2ª REGIÃO |
0 |
0 |
|
PTM de Barueri |
0 |
0 |
|
PTM de Guarulhos |
0 |
0 |
|
PTM de Mogi das Cruzes |
0 |
0 |
|
PTM de Santos |
0 |
0 |
|
PTM de São Bernardo do Campo |
0 |
0 |
|
PRT da 3ª REGIÃO |
0 |
0 |
|
PTM de Coronel Fabriciano |
0 |
0 |
|
PTM de Divinópolis |
0 |
0 |
|
PTM de Governador Valadares |
0 |
0 |
|
PTM de Juiz de Fora |
0 |
0 |
|
PTM de Montes Claros |
0 |
0 |
|
PTM de Patos de Minas |
0 |
0 |
|
PTM de Pouso Alegre |
0 |
0 |
|
PTM de Teófilo Otoni |
0 |
0 |
|
PTM de Uberlândia |
0 |
0 |
|
PTM de Varginha |
0 |
0 |
|
PRT da 4ª REGIÃO |
40 |
1 |
|
PTM de Caxias do Sul |
0 |
0 |
|
PTM de Novo Hamburgo |
3 |
1 |
|
PTM de Passo Fundo |
3 |
1 |
|
PTM de Pelotas |
0 |
0 |
|
PTM de Santa Cruz do Sul |
0 |
0 |
|
PTM de Santa Maria |
3 |
1 |
|
PTM de Santo Ângelo |
3 |
1 |
|
PTM de Uruguaiana |
1 |
1 |
|
PRT da 5ª REGIÃO |
0 |
7 |
|
PTM de Barreiras |
0 |
0 |
|
PTM de Eunápolis |
0 |
0 |
|
PTM de Feira de Santana |
0 |
0 |
|
PTM de Itabuna |
0 |
0 |
|
PTM de Juazeiro |
0 |
0 |
|
PTM de Santo Antônio de Jesus |
0 |
0 |
|
PTM de Vitória da Conquista |
0 |
0 |
|
PRT da 6ª REGIÃO |
5 |
5 |
|
PTM de Caruaru |
1 |
1 |
|
PTM de Petrolina |
1 |
1 |
|
PRT da 7ª REGIÃO |
4 |
3 |
|
PTM de Juazeiro do Norte |
0 |
0 |
|
PTM de Limoeiro do Norte |
0 |
0 |
|
PTM de Sobral |
0 |
0 |
|
PRT da 8ª REGIÃO |
0 |
0 |
|
PTM de Macapá |
0 |
0 |
|
PTM de Marabá |
0 |
0 |
|
PTM de Santarém |
0 |
0 |
|
PRT da 9ª REGIÃO |
0 |
0 |
|
PTM de Campo Mourão |
0 |
0 |
|
PTM de Guarapuava |
0 |
0 |
|
PTM de Londrina |
0 |
0 |
|
PTM de Maringá |
0 |
0 |
|
PTM de Pato Branco |
0 |
0 |
|
PTM de Umuarama |
0 |
0 |
|
PTM de do Cascavel |
0 |
0 |
|
PTM de do Foz do Iguaçu |
0 |
0 |
|
PTM de Ponta Grossa |
0 |
0 |
|
PRT da 10ª REGIÃO |
30 |
4 |
|
PTM de Araguaína |
0 |
0 |
|
PTM de Palmas e Gurupi |
4 |
1 |
|
PRT da 11ª REGIÃO |
0 |
3 |
|
PTM de Boa Vista |
0 |
0 |
|
PRT da 12ª REGIÃO |
20 |
1 |
|
PTM de Blumenau |
0 |
0 |
|
PTM de Chapecó |
1 |
1 |
|
PTM de Criciúma |
0 |
0 |
|
PTM de Joaçaba |
0 |
0 |
|
PTM de Joinville |
0 |
0 |
|
PTM de Lages |
0 |
0 |
|
PRT da 13ª REGIÃO |
0 |
1 |
|
PTM de Campina Grande |
0 |
0 |
|
PTM de Posto Avançado em Patos |
0 |
0 |
|
PRT da 14ª REGIÃO |
0 |
0 |
|
PTM de Ji-Paraná |
0 |
0 |
|
PTM de Rio Branco |
0 |
0 |
|
PRT da 15ª REGIÃO |
160 |
5 |
|
PTM de Araçatuba |
0 |
5 |
|
PTM de Araraquara |
0 |
0 |
|
PTM de Bauru |
0 |
2 |
|
PTM de Presidente Prudente |
0 |
0 |
|
PTM de Ribeirão Preto |
0 |
0 |
|
PTM de São José do Rio Preto |
0 |
0 |
|
PTM de São José dos Campos |
0 |
0 |
|
PTM de Sorocaba |
0 |
0 |
|
PRT da 16ª REGIÃO |
0 |
0 |
|
PTM de Bacabal |
0 |
0 |
|
PTM de Imperatriz |
0 |
0 |
|
PTM de Timon |
0 |
0 |
|
PRT da 17ª REGIÃO |
8 |
2 |
|
PTM de Cachoeiro de Itapemirim |
0 |
0 |
|
PTM de Colatina |
0 |
0 |
|
PTM de São Mateus |
0 |
0 |
|
PRT da 18ª REGIÃO |
0 |
0 |
|
PTM de Anápolis |
0 |
0 |
|
PTM de Luziânia |
0 |
0 |
|
PTM de Rio Verde |
0 |
0 |
|
PRT da 19ª REGIÃO |
0 |
0 |
|
PTM de Arapiraca |
0 |
0 |
|
PRT da 20ª REGIÃO |
0 |
0 |
|
PTM de Itabaiana |
0 |
0 |
|
PRT da 21ª REGIÃO |
0 |
0 |
|
PTM de Caicó |
0 |
0 |
|
PTM de Mossoró |
0 |
0 |
|
PRT da 22ª REGIÃO |
0 |
0 |
|
PTM de Bom Jesus |
0 |
0 |
|
PTM de Picos |
0 |
0 |
|
PRT da 23ª REGIÃO |
0 |
0 |
|
PTM de Alta Floresta |
0 |
0 |
|
PTM de Rondonópolis |
0 |
0 |
|
PTM de Sinop |
0 |
1 |
|
PRT da 24ª REGIÃO |
0 |
0 |
|
PTM de Dourados |
0 |
0 |
|
PTM de Três Lagoas |
0 |
0 |
|
Nacional |
630 |
79 |
Margem de participação de temas sustentáveis de campanhas de sensibilização e conscientização no MPT – 2025
Consumo de papel
Após análise dos resultados, o consumo de papel reciclado no MPT foi de 765 resmas e de papel não reciclado 2184, com total de 2949 resmas, conclui-se, assim, que o consumo de papel (reciclado e não reciclado) obteve retração da ordem de 16,81% quando comparado ao ano de 2024 (3545 resmas de papel reciclado + não reciclado).
Analisando ainda os percentuais de participação no consumo total de papel do Órgão, a pesquisa apurou que do total consumido, apenas 25,94% foram de papel reciclado e 74,06% de papel não reciclado.
Desta forma, conclui-se que a meta 2 do Subeixo consumo de papel não foi cumprida no ano de 2025, conforme trajetória da meta. Recomenda-se, assim, que o tema seja analisado quando da revisão do PLS MPT 2025/2030.
O monitoramento evidencia a relevância da digitalização de processos, da racionalização de impressões e da priorização do uso de papel reciclado como estratégias centrais para a redução do consumo e dos impactos ambientais associados.
Consumo de energia elétrica
A energia elétrica consiste em recurso energético em relação ao qual o MPT atua intensamente para racionalizar sua utilização e, por meio dos dados obtidos pelas respostas à Pesquisa MASA MPT de 2025, ressalta-se que os dados deste relatório são parciais, devido aos dados referentes ao mês de dezembro não fazerem parte dos cálculos.
O consumo per capita de energia elétrica constitui o principal indicador de resultado do Sub-eixo 1.1, por permitir avaliar o grau de eficiência energética institucional em relação ao número de pessoas que utilizam as instalações do MPT.
No exercício de 2025, o consumo total de energia elétrica do MPT foi de 10.052.055,32 kWh, resultando em um consumo per capita de 1.693 kWh/pessoa, considerando o total de usuários(as) informados(as), parcial: 5936. Observou-se uma redução aproximada de 6% em comparação com o exercício de 2024, quando o consumo per capita foi de 1.798 kWh/pessoa, superando a meta prevista para o primeiro ano do ciclo do PLS.
Ressalta-se que os dados de 2025 são parciais, uma vez que não contemplam o consumo referente ao mês de dezembro.
A análise dos dados consolidados de 2025 evidencia variações entre unidades administrativas, reflexo das diferenças estruturais, operacionais e de perfil de ocupação dos imóveis. Ainda assim, o indicador possibilita identificar tendências de racionalização do consumo, bem como unidades com maior potencial de aprimoramento:
Consumo per capita energia elétrica kWh – MPT 2025.
|
Unidade administrativa |
kWh per capita |
kWh / m² |
|
PGT |
1.374,08 |
30,67 |
|
PRT da 1ª REGIÃO |
1.395,62 |
62,35 |
|
PTM de Cabo Frio |
1.427,15 |
41,11 |
|
PTM de Campos dos Goytacazes |
1.132,68 |
52,17 |
|
PTM de Itaguaí |
0,00 |
|
|
PTM de Niterói |
1.820,48 |
52,09 |
|
PTM de Nova Friburgo |
917,80 |
65,58 |
|
PTM de Nova Iguaçu |
1.074,63 |
61,19 |
|
PTM de Petrópolis |
1.636,89 |
24,55 |
|
PTM de Volta Redonda |
1.575,17 |
116,45 |
|
PRT da 2ª REGIÃO |
1.507,49 |
35,78 |
|
PTM de Barueri |
1.055,65 |
29,83 |
|
PTM de Guarulhos |
903,56 |
23,92 |
|
PTM de Mogi das Cruzes |
800,00 |
35,69 |
|
PTM de Santos |
1.098,97 |
24,36 |
|
PTM de São Bernardo do Campo |
938,45 |
19,91 |
|
PRT da 3ª REGIÃO |
2.236,93 |
60,43 |
|
PTM de Coronel Fabriciano |
626,87 |
46,39 |
|
PTM de Divinópolis |
705,39 |
39,58 |
|
PTM de Governador Valadares |
1.496,22 |
97,58 |
|
PTM de Juiz de Fora |
1.265,35 |
52,76 |
|
PTM de Montes Claros |
1.417,50 |
43,23 |
|
PTM de Patos de Minas |
1.176,95 |
40,38 |
|
PTM de Pouso Alegre |
619,05 |
17,58 |
|
PTM de Teófilo Otoni |
2.484,20 |
55,06 |
|
PTM de Uberlândia |
1.123,46 |
34,91 |
|
PTM de Varginha |
1.143,64 |
52,46 |
|
PRT da 4ª REGIÃO |
776,16 |
25,64 |
|
PTM de Caxias do Sul |
1.537,48 |
21,69 |
|
PTM de Novo Hamburgo |
8,56 |
0,23 |
|
PTM de Passo Fundo |
1.305,43 |
17,31 |
|
PTM de Pelotas |
1.054,46 |
25,76 |
|
PTM de Santa Cruz do Sul |
1.006,32 |
26,62 |
|
PTM de Santa Maria |
1.192,72 |
10,80 |
|
PTM de Santo Ângelo |
804,16 |
22,43 |
|
PTM de Uruguaiana |
1.032,25 |
19,36 |
|
PRT da 5ª REGIÃO |
1.638,05 |
28,09 |
|
PTM de Barreiras |
|
0,26 |
|
PTM de Eunápolis |
1.289,75 |
27,52 |
|
PTM de Feira de Santana |
677,27 |
15,01 |
|
PTM de Itabuna |
1.569,70 |
57,23 |
|
PTM de Juazeiro |
1.561,88 |
35,50 |
|
PTM de Santo Antônio de Jesus |
105,52 |
2,71 |
|
PTM de Vitória da Conquista |
130,32 |
1,58 |
|
PRT da 6ª REGIÃO |
2.282,31 |
77,83 |
|
PTM de Caruaru |
1.182,20 |
22,85 |
|
PTM de Petrolina |
1.194,31 |
4,66 |
|
PRT da 7ª REGIÃO |
3.067,71 |
31,48 |
|
PTM de Juazeiro do Norte |
|
|
|
PTM de Limoeiro do Norte |
|
|
|
PTM de Sobral |
|
|
|
PRT da 8ª REGIÃO |
2.634,39 |
116,85 |
|
PTM de Macapá |
|
0,00 |
|
PTM de Marabá |
2.024,45 |
43,91 |
|
PTM de Santarém |
1.667,50 |
69,42 |
|
PRT da 9ª REGIÃO |
1.197,68 |
23,87 |
|
PTM de Campo Mourão |
|
48,15 |
|
PTM de Guarapuava |
666,05 |
29,66 |
|
PTM de Londrina |
799,11 |
20,93 |
|
PTM de Maringá |
1.449,43 |
18,28 |
|
PTM de Pato Branco |
|
46,34 |
|
PTM de Umuarama |
1.323,17 |
19,48 |
|
PTM de do Cascavel |
817,61 |
15,41 |
|
PTM de do Foz do Iguaçu |
|
15,04 |
|
PTM de Ponta Grossa |
1.325,47 |
16,66 |
|
PRT da 10ª REGIÃO |
5.478,59 |
63,77 |
|
PTM de Araguaína |
0,00 |
0,00 |
|
PTM de Palmas e Gurupi |
2.949,60 |
57,69 |
|
PRT da 11ª REGIÃO |
3.303,20 |
74,65 |
|
PTM de Boa Vista |
|
|
|
PRT da 12ª REGIÃO |
1.934,98 |
44,46 |
|
PTM de Blumenau |
1.170,53 |
28,58 |
|
PTM de Chapecó |
1.198,31 |
30,92 |
|
PTM de Criciúma |
1.024,39 |
44,01 |
|
PTM de Joaçaba |
1.576,38 |
30,63 |
|
PTM de Joinville |
1.169,32 |
46,25 |
|
PTM de Lages |
1.310,78 |
18,73 |
|
PRT da 13ª REGIÃO |
1.740,60 |
59,14 |
|
PTM de Campina Grande |
3.676,63 |
64,71 |
|
PTM de Posto Avançado em Patos |
|
|
|
PRT da 14ª REGIÃO |
|
|
|
PTM de Ji-Paraná |
|
|
|
PTM de Rio Branco |
|
|
|
PRT da 15ª REGIÃO |
1.233,36 |
47,57 |
|
PTM de Araçatuba |
969,75 |
37,36 |
|
PTM de Araraquara |
1.185,53 |
17,10 |
|
PTM de Bauru |
996,36 |
13,79 |
|
PTM de Presidente Prudente |
1.028,91 |
36,86 |
|
PTM de Ribeirão Preto |
1.251,77 |
18,49 |
|
PTM de São José do Rio Preto |
1.152,95 |
35,38 |
|
PTM de São José dos Campos |
808,26 |
41,97 |
|
PTM de Sorocaba |
1.132,00 |
39,11 |
|
PRT da 16ª REGIÃO |
1.443,18 |
46,55 |
|
PTM de Bacabal |
|
|
|
PTM de Imperatriz |
1.863,70 |
57,85 |
|
PTM de Timon |
|
|
|
PRT da 17ª REGIÃO |
1.372,75 |
65,01 |
|
PTM de Cachoeiro de Itapemirim |
|
|
|
PTM de Colatina |
|
|
|
PTM de São Mateus |
|
|
|
PRT da 18ª REGIÃO |
2.276,82 |
30,55 |
|
PTM de Anápolis |
82,50 |
4,14 |
|
PTM de Luziânia |
2.487,35 |
93,97 |
|
PTM de Rio Verde |
1.626,35 |
93,97 |
|
PRT da 19ª REGIÃO |
1.039,89 |
113,75 |
|
PTM de Arapiraca |
1.588,34 |
21,97 |
|
PRT da 20ª REGIÃO |
975,46 |
23,81 |
|
PTM de Itabaiana |
1.932,67 |
86,39 |
|
PRT da 21ª REGIÃO |
2.741,54 |
47,99 |
|
PTM de Caicó |
2.788,75 |
75,63 |
|
PTM de Mossoró |
16.735,57 |
286,66 |
|
PRT da 22ª REGIÃO |
1.295,11 |
85,26 |
|
PTM de Bom Jesus |
0,00 |
0,00 |
|
PTM de Picos |
1.685,82 |
30,91 |
|
PRT da 23ª REGIÃO |
900,06 |
34,20 |
|
PTM de Alta Floresta |
|
|
|
PTM de Rondonópolis |
1.974,48 |
70,20 |
|
PTM de Sinop |
740,79 |
61,17 |
|
PRT da 24ª REGIÃO |
103,31 |
4,08 |
|
PTM de Dourados |
998,78 |
10,00 |
|
PTM de Três Lagoas |
1.846,08 |
35,71 |
Consumo de água
O consumo total de água em metros cúbicos (m³), no ano considerado para a pesquisa, foi de 48439,19 m³, constatando-se expansão da ordem de 6% (seis por cento), no consumo per capita, em relação ao ano anterior cujo consumo total de água foi de 54378,3 m³, e per capita de 8,669. Em 2024, o consumo total per capita, no MPT resultou em 8,160 m³.
Em 2025, o consumo total de água no MPT apresentou redução significativa em relação a 2024, com destaque para a redução do consumo per capita, alinhada às metas do PLS 2025–2030.
|
Região administrativa |
Integrantes das unidades regionais |
Apurado 2024 - Consumo de água per capita por região administrativa (m³ per capita) |
META 2025 (-1%) |
Apurado 2025 - Consumo de água per capita por região administrativa (m³ per capita) |
Cumprimento da meta |
|
PGT |
814 |
8,444 |
8,360 |
6,093 |
Meta cumprida |
|
1ª REGIÃO |
474 |
5,428 |
5,374 |
3,840 |
Meta cumprida |
|
2ª REGIÃO |
417 |
5,675 |
5,618 |
7,093 |
Meta não cumprida |
|
3ª REGIÃO |
452 |
10,807 |
10,699 |
8,016 |
Meta cumprida |
|
4ª REGIÃO |
390 |
4,611 |
4,565 |
10,406 |
Meta não cumprida |
|
5ª REGIÃO |
324 |
9,640 |
9,543 |
9,830 |
Meta não cumprida |
|
6ª REGIÃO |
192 |
11,911 |
11,792 |
17,948 |
Meta não cumprida |
|
7ª REGIÃO |
143 |
6,503 |
6,438 |
4,832 |
Meta cumprida |
|
8ª REGIÃO |
188 |
9,216 |
9,124 |
7,011 |
Meta cumprida |
|
9ª REGIÃO |
316 |
6,193 |
6,131 |
4,503 |
Meta cumprida |
|
10ª REGIÃO |
196 |
7,903 |
7,824 |
3,867 |
Meta cumprida |
|
11ª REGIÃO |
113 |
9,033 |
8,943 |
10,142 |
Meta não cumprida |
|
12ª REGIÃO |
199 |
19,305 |
19,112 |
8,254 |
Meta cumprida |
|
13ª REGIÃO |
150 |
10,022 |
9,922 |
8,400 |
Meta cumprida |
|
14ª REGIÃO |
0 |
12,684 |
12,557 |
0,000 |
Meta cumprida |
|
15ª REGIÃO |
387 |
7,290 |
7,217 |
6,720 |
Meta cumprida |
|
16ª REGIÃO |
133 |
30,000 |
29,700 |
31,128 |
Meta não cumprida |
|
17ª REGIÃO |
114 |
10,034 |
9,934 |
10,342 |
Meta não cumprida |
|
18ª REGIÃO |
188 |
9,976 |
9,876 |
7,176 |
Meta cumprida |
|
19ª REGIÃO |
105 |
5,490 |
5,435 |
1,638 |
Meta cumprida |
|
20ª REGIÃO |
93 |
11,333 |
11,220 |
11,925 |
Meta não cumprida |
|
21ª REGIÃO |
142 |
20,919 |
20,710 |
20,465 |
Meta cumprida |
|
22ª REGIÃO |
109 |
7,018 |
6,948 |
5,991 |
Meta cumprida |
|
23ª REGIÃO |
173 |
7,221 |
7,149 |
6,988 |
Meta cumprida |
|
24ª REGIÃO |
124 |
10,641 |
10,535 |
6,718 |
Meta cumprida |
|
NACIONAL |
5936 |
9,188 |
9,096 |
8,160 |
Meta cumprida |
O monitoramento do uso de materiais descartáveis demonstrou avanços graduais na substituição por alternativas mais sustentáveis.
O monitoramento considerou a quantidade de copos descartáveis disponibilizados ao público externo, distinguindo materiais biodegradáveis e não biodegradáveis, bem como indicadores de acompanhamento relacionados ao uso de galões e garrafas de água mineral.
Os dados de 2025 indicam avanços graduais na conscientização institucional quanto à redução do uso de materiais descartáveis, ainda que persistam diferenças relevantes entre as unidades administrativas.
Mobilidade urbana
A tabela abaixo apresenta os consumos de combustíveis por Unidade Administrativa. As emissões de CO₂ associadas ao transporte terrestre institucional foram estimadas com base na quilometragem percorrida pelos veículos do MPT, considerando o tipo de combustível utilizado em cada deslocamento.
|
Unidade administrativa |
Consumo total com ETANOL (litros) |
Consumo total com GASOLINA (litros) |
Consumo total com DIESEL (litros) |
Volume total de combustíveis |
Percentual do volume de etanol |
Percentual do volume de gasolina |
Percentual do volume de diesel |
|
PGT |
973,84 litros |
10.193,80 litros |
3.493,14 litros |
14.660,78 litros |
6,64% |
69,53% |
23,83% |
|
PRT da 1ª REGIÃO |
386,39 litros |
2.837,63 litros |
3.491,87 litros |
6.715,89 litros |
5,75% |
42,25% |
51,99% |
|
PTM de Cabo Frio |
226,63 litros |
376,30 litros |
0,00 litros |
602,92 litros |
37,59% |
62,41% |
0,00% |
|
PTM de Campos dos Goytacazes |
0,00 litros |
0,00 litros |
0,00 litros |
0,00 litros |
|
|
|
|
PTM de Itaguaí |
0,00 litros |
0,00 litros |
0,00 litros |
0,00 litros |
|
|
|
|
PTM de Niterói |
0,00 litros |
661,31 litros |
0,00 litros |
661,31 litros |
0,00% |
100,00% |
0,00% |
|
PTM de Nova Friburgo |
0,00 litros |
0,00 litros |
0,00 litros |
0,00 litros |
|
|
|
|
PTM de Nova Iguaçu |
0,00 litros |
0,00 litros |
0,00 litros |
0,00 litros |
|
|
|
|
PTM de Petrópolis |
0,00 litros |
856,61 litros |
0,00 litros |
856,61 litros |
0,00% |
100,00% |
0,00% |
|
PTM de Volta Redonda |
0,00 litros |
989,02 litros |
0,00 litros |
989,02 litros |
0,00% |
100,00% |
0,00% |
|
PRT da 2ª REGIÃO |
104,12 litros |
1.970,46 litros |
316,57 litros |
2.391,15 litros |
4,35% |
82,41% |
13,24% |
|
PTM de Barueri |
0,00 litros |
341,51 litros |
468,15 litros |
809,66 litros |
0,00% |
42,18% |
57,82% |
|
PTM de Guarulhos |
0,00 litros |
343,26 litros |
0,00 litros |
343,26 litros |
0,00% |
100,00% |
0,00% |
|
PTM de Mogi das Cruzes |
321,78 litros |
474,29 litros |
0,00 litros |
796,07 litros |
40,42% |
59,58% |
0,00% |
|
PTM de Santos |
906,28 litros |
90,30 litros |
0,00 litros |
996,58 litros |
90,94% |
9,06% |
0,00% |
|
PTM de São Bernardo do Campo |
51,05 litros |
246,11 litros |
0,00 litros |
297,16 litros |
17,18% |
82,82% |
0,00% |
|
PRT da 3ª REGIÃO |
2.732,60 litros |
0,00 litros |
3.390,48 litros |
6.123,08 litros |
44,63% |
0,00% |
55,37% |
|
PTM de Coronel Fabriciano |
0,00 litros |
0,00 litros |
0,00 litros |
0,00 litros |
|
|
|
|
PTM de Divinópolis |
83,79 litros |
0,00 litros |
262,47 litros |
346,26 litros |
24,20% |
0,00% |
75,80% |
|
PTM de Governador Valadares |
0,00 litros |
0,00 litros |
0,00 litros |
0,00 litros |
|
|
|
|
PTM de Juiz de Fora |
702,67 litros |
0,00 litros |
0,00 litros |
702,67 litros |
100,00% |
0,00% |
0,00% |
|
PTM de Montes Claros |
0,00 litros |
0,00 litros |
0,00 litros |
0,00 litros |
|
|
|
|
PTM de Patos de Minas |
69,18 litros |
0,00 litros |
0,00 litros |
69,18 litros |
100,00% |
0,00% |
0,00% |
|
PTM de Pouso Alegre |
0,00 litros |
0,00 litros |
0,00 litros |
0,00 litros |
|
|
|
|
PTM de Teófilo Otoni |
0,00 litros |
0,00 litros |
0,00 litros |
0,00 litros |
|
|
|
|
PTM de Uberlândia |
43,23 litros |
0,00 litros |
249,40 litros |
292,63 litros |
14,77% |
0,00% |
85,23% |
|
PTM de Varginha |
561,62 litros |
0,00 litros |
1.080,44 litros |
1.642,06 litros |
34,20% |
0,00% |
65,80% |
|
PRT da 4ª REGIÃO |
0,00 litros |
1.824,52 litros |
2.702,86 litros |
4.527,38 litros |
0,00% |
40,30% |
59,70% |
|
PTM de Caxias do Sul |
0,00 litros |
403,02 litros |
0,00 litros |
403,02 litros |
0,00% |
100,00% |
0,00% |
|
PTM de Novo Hamburgo |
0,00 litros |
0,00 litros |
0,00 litros |
0,00 litros |
|
|
|
|
PTM de Passo Fundo |
0,00 litros |
153,32 litros |
0,00 litros |
153,32 litros |
0,00% |
100,00% |
0,00% |
|
PTM de Pelotas |
0,00 litros |
0,00 litros |
0,00 litros |
0,00 litros |
|
|
|
|
PTM de Santa Cruz do Sul |
0,00 litros |
0,00 litros |
0,00 litros |
0,00 litros |
|
|
|
|
PTM de Santa Maria |
0,00 litros |
324,35 litros |
0,00 litros |
324,35 litros |
0,00% |
100,00% |
0,00% |
|
PTM de Santo Ângelo |
0,00 litros |
123,75 litros |
0,00 litros |
123,75 litros |
0,00% |
100,00% |
0,00% |
|
PTM de Uruguaiana |
0,00 litros |
3,20 litros |
0,00 litros |
3,20 litros |
0,00% |
100,00% |
0,00% |
|
PRT da 5ª REGIÃO |
0,00 litros |
4.185,25 litros |
1.515,51 litros |
5.700,76 litros |
0,00% |
73,42% |
26,58% |
|
PTM de Barreiras |
0,00 litros |
837,53 litros |
26,36 litros |
863,89 litros |
0,00% |
96,95% |
3,05% |
|
PTM de Eunápolis |
0,00 litros |
76,73 litros |
609,95 litros |
686,68 litros |
0,00% |
11,17% |
88,83% |
|
PTM de Feira de Santana |
0,00 litros |
691,02 litros |
4.577,67 litros |
5.268,69 litros |
0,00% |
13,12% |
86,88% |
|
PTM de Itabuna |
0,00 litros |
832,41 litros |
0,00 litros |
832,41 litros |
0,00% |
100,00% |
0,00% |
|
PTM de Juazeiro |
0,00 litros |
48,27 litros |
465,51 litros |
513,78 litros |
0,00% |
9,40% |
90,60% |
|
PTM de Santo Antônio de Jesus |
0,00 litros |
90,39 litros |
272,48 litros |
362,87 litros |
0,00% |
24,91% |
75,09% |
|
PTM de Vitória da Conquista |
0,00 litros |
56,15 litros |
575,24 litros |
631,39 litros |
0,00% |
8,89% |
91,11% |
|
PRT da 6ª REGIÃO |
0,00 litros |
4.366,53 litros |
3.090,51 litros |
7.457,04 litros |
0,00% |
58,56% |
41,44% |
|
PTM de Caruaru |
0,00 litros |
89,77 litros |
1.116,03 litros |
1.205,80 litros |
0,00% |
7,44% |
92,56% |
|
PTM de Petrolina |
0,00 litros |
55,00 litros |
1.876,81 litros |
1.931,81 litros |
0,00% |
2,85% |
97,15% |
|
PRT da 7ª REGIÃO |
0,00 litros |
2.810,14 litros |
4.198,90 litros |
7.009,04 litros |
0,00% |
40,09% |
59,91% |
|
PTM de Juazeiro do Norte |
0,00 litros |
0,00 litros |
0,00 litros |
0,00 litros |
|
|
|
|
PTM de Limoeiro do Norte |
0,00 litros |
0,00 litros |
0,00 litros |
0,00 litros |
|
|
|
|
PTM de Sobral |
0,00 litros |
0,00 litros |
0,00 litros |
0,00 litros |
|
|
|
|
PRT da 8ª REGIÃO |
43,29 litros |
773,40 litros |
0,00 litros |
816,69 litros |
5,30% |
94,70% |
0,00% |
|
PTM de Macapá |
0,00 litros |
0,00 litros |
0,00 litros |
0,00 litros |
|
|
|
|
PTM de Marabá |
0,00 litros |
0,00 litros |
2.526,87 litros |
2.526,87 litros |
0,00% |
0,00% |
100,00% |
|
PTM de Santarém |
0,00 litros |
0,00 litros |
1.510,42 litros |
1.510,42 litros |
0,00% |
0,00% |
100,00% |
|
PRT da 9ª REGIÃO |
2.281,29 litros |
1.772,06 litros |
741,29 litros |
4.794,64 litros |
47,58% |
36,96% |
15,46% |
|
PTM de Campo Mourão |
0,00 litros |
53,41 litros |
0,00 litros |
53,41 litros |
0,00% |
100,00% |
0,00% |
|
PTM de Guarapuava |
494,34 litros |
137,66 litros |
0,00 litros |
632,00 litros |
78,22% |
21,78% |
0,00% |
|
PTM de Londrina |
338,06 litros |
12,04 litros |
290,77 litros |
640,87 litros |
52,75% |
1,88% |
45,37% |
|
PTM de Maringá |
2.111,93 litros |
0,00 litros |
0,00 litros |
2.111,93 litros |
100,00% |
0,00% |
0,00% |
|
PTM de Pato Branco |
38,54 litros |
164,99 litros |
0,00 litros |
203,53 litros |
18,94% |
81,06% |
0,00% |
|
PTM de Umuarama |
269,89 litros |
422,12 litros |
1.219,62 litros |
1.911,63 litros |
14,12% |
22,08% |
63,80% |
|
PTM de do Cascavel |
884,12 litros |
0,00 litros |
0,00 litros |
884,12 litros |
100,00% |
0,00% |
0,00% |
|
PTM de do Foz do Iguaçu |
276,49 litros |
0,61 litros |
0,00 litros |
277,10 litros |
99,78% |
0,22% |
0,00% |
|
PTM de Ponta Grossa |
121,04 litros |
35,87 litros |
0,00 litros |
156,91 litros |
77,14% |
22,86% |
0,00% |
|
PRT da 10ª REGIÃO |
0,00 litros |
5.201,03 litros |
4.293,00 litros |
9.494,03 litros |
0,00% |
54,78% |
45,22% |
|
PTM de Araguaína |
0,00 litros |
0,00 litros |
1.295,37 litros |
1.295,37 litros |
0,00% |
0,00% |
100,00% |
|
PTM de Palmas e Gurupi |
0,00 litros |
1.410,21 litros |
15.575,13 litros |
16.985,34 litros |
0,00% |
8,30% |
91,70% |
|
PRT da 11ª REGIÃO |
418,85 litros |
1.209,65 litros |
3.127,53 litros |
4.756,03 litros |
8,81% |
25,43% |
65,76% |
|
PTM de Boa Vista |
0,00 litros |
0,00 litros |
0,00 litros |
0,00 litros |
|
|
|
|
PRT da 12ª REGIÃO |
36,11 litros |
928,50 litros |
741,20 litros |
1.705,81 litros |
2,12% |
54,43% |
43,45% |
|
PTM de Blumenau |
0,00 litros |
0,00 litros |
0,00 litros |
0,00 litros |
|
|
|
|
PTM de Chapecó |
0,00 litros |
0,00 litros |
14.814,00 litros |
14.814,00 litros |
0,00% |
0,00% |
100,00% |
|
PTM de Criciúma |
0,00 litros |
183,23 litros |
0,00 litros |
183,23 litros |
0,00% |
100,00% |
0,00% |
|
PTM de Joaçaba |
0,00 litros |
0,00 litros |
0,00 litros |
0,00 litros |
|
|
|
|
PTM de Joinville |
0,00 litros |
0,00 litros |
0,00 litros |
0,00 litros |
|
|
|
|
PTM de Lages |
16,36 litros |
0,00 litros |
0,00 litros |
16,36 litros |
100,00% |
0,00% |
0,00% |
|
PRT da 13ª REGIÃO |
2.733,22 litros |
123,26 litros |
1.227,57 litros |
4.084,05 litros |
66,92% |
3,02% |
30,06% |
|
PTM de Campina Grande |
647,66 litros |
0,00 litros |
1.006,89 litros |
1.654,55 litros |
39,14% |
0,00% |
60,86% |
|
PTM de Posto Avançado em Patos |
0,00 litros |
0,00 litros |
0,00 litros |
0,00 litros |
|
|
|
|
PRT da 14ª REGIÃO |
0,00 litros |
0,00 litros |
0,00 litros |
0,00 litros |
|
|
|
|
PTM de Ji-Paraná |
0,00 litros |
0,00 litros |
0,00 litros |
0,00 litros |
|
|
|
|
PTM de Rio Branco |
0,00 litros |
0,00 litros |
0,00 litros |
0,00 litros |
|
|
|
|
PRT da 15ª REGIÃO |
531,70 litros |
10.255,80 litros |
8.432,50 litros |
19.220,00 litros |
2,77% |
53,36% |
43,87% |
|
PTM de Araçatuba |
169,50 litros |
0,00 litros |
0,00 litros |
169,50 litros |
100,00% |
0,00% |
0,00% |
|
PTM de Araraquara |
0,00 litros |
76,90 litros |
0,00 litros |
76,90 litros |
0,00% |
100,00% |
0,00% |
|
PTM de Bauru |
0,00 litros |
1.143,60 litros |
491,90 litros |
1.635,50 litros |
0,00% |
69,92% |
30,08% |
|
PTM de Presidente Prudente |
380,80 litros |
0,00 litros |
320,90 litros |
701,70 litros |
54,27% |
0,00% |
45,73% |
|
PTM de Ribeirão Preto |
0,00 litros |
0,00 litros |
0,00 litros |
0,00 litros |
|
|
|
|
PTM de São José do Rio Preto |
58,20 litros |
151,60 litros |
82,80 litros |
292,60 litros |
19,89% |
51,81% |
28,30% |
|
PTM de São José dos Campos |
92,50 litros |
757,68 litros |
768,33 litros |
1.618,51 litros |
5,72% |
46,81% |
47,47% |
|
PTM de Sorocaba |
0,00 litros |
0,00 litros |
0,00 litros |
0,00 litros |
|
|
|
|
PRT da 16ª REGIÃO |
0,00 litros |
1.161,00 litros |
7.418,00 litros |
8.579,00 litros |
0,00% |
13,53% |
86,47% |
|
PTM de Bacabal |
0,00 litros |
0,00 litros |
0,00 litros |
0,00 litros |
|
|
|
|
PTM de Imperatriz |
0,00 litros |
0,00 litros |
2.422,00 litros |
2.422,00 litros |
0,00% |
0,00% |
100,00% |
|
PTM de Timon |
0,00 litros |
0,00 litros |
0,00 litros |
0,00 litros |
|
|
|
|
PRT da 17ª REGIÃO |
3.032,88 litros |
72,94 litros |
2.029,05 litros |
5.134,87 litros |
59,06% |
1,42% |
39,52% |
|
PTM de Cachoeiro de Itapemirim |
244,99 litros |
0,00 litros |
65,82 litros |
310,81 litros |
78,82% |
0,00% |
21,18% |
|
PTM de Colatina |
0,00 litros |
0,00 litros |
0,00 litros |
0,00 litros |
|
|
|
|
PTM de São Mateus |
0,00 litros |
0,00 litros |
1.323,76 litros |
1.323,76 litros |
0,00% |
0,00% |
100,00% |
|
PRT da 18ª REGIÃO |
2.023,28 litros |
0,00 litros |
2.980,97 litros |
5.004,25 litros |
40,43% |
0,00% |
59,57% |
|
PTM de Anápolis |
0,00 litros |
0,00 litros |
1.716,15 litros |
1.716,15 litros |
0,00% |
0,00% |
100,00% |
|
PTM de Luziânia |
0,00 litros |
0,00 litros |
2.016,00 litros |
2.016,00 litros |
0,00% |
0,00% |
100,00% |
|
PTM de Rio Verde |
0,00 litros |
0,00 litros |
140,26 litros |
140,26 litros |
0,00% |
0,00% |
100,00% |
|
PRT da 19ª REGIÃO |
0,00 litros |
0,00 litros |
0,00 litros |
0,00 litros |
|
|
|
|
PTM de Arapiraca |
0,00 litros |
576,56 litros |
0,00 litros |
576,56 litros |
0,00% |
100,00% |
0,00% |
|
PRT da 20ª REGIÃO |
25,51 litros |
935,84 litros |
2.876,60 litros |
3.837,95 litros |
0,66% |
24,38% |
74,95% |
|
PTM de Itabaiana |
0,00 litros |
0,00 litros |
0,00 litros |
0,00 litros |
|
|
|
|
PRT da 21ª REGIÃO |
0,00 litros |
0,00 litros |
0,00 litros |
0,00 litros |
|
|
|
|
PTM de Caicó |
0,00 litros |
0,00 litros |
0,00 litros |
0,00 litros |
|
|
|
|
PTM de Mossoró |
0,00 litros |
0,00 litros |
0,00 litros |
0,00 litros |
|
|
|
|
PRT da 22ª REGIÃO |
0,00 litros |
968,00 litros |
5.477,00 litros |
6.445,00 litros |
0,00% |
15,02% |
84,98% |
|
PTM de Bom Jesus |
0,00 litros |
0,00 litros |
0,00 litros |
0,00 litros |
|
|
|
|
PTM de Picos |
0,00 litros |
0,00 litros |
0,00 litros |
0,00 litros |
|
|
|
|
PRT da 23ª REGIÃO |
619,73 litros |
271,86 litros |
2.582,53 litros |
3.474,12 litros |
17,84% |
7,83% |
74,34% |
|
PTM de Alta Floresta |
0,00 litros |
0,00 litros |
0,00 litros |
0,00 litros |
|
|
|
|
PTM de Rondonópolis |
0,00 litros |
0,00 litros |
0,00 litros |
0,00 litros |
|
|
|
|
PTM de Sinop |
0,00 litros |
0,00 litros |
0,00 litros |
0,00 litros |
|
|
|
|
PRT da 24ª REGIÃO |
0,00 litros |
5.659,42 litros |
5.111,76 litros |
10.771,18 litros |
0,00% |
52,54% |
47,46% |
|
PTM de Dourados |
0,00 litros |
852,37 litros |
0,00 litros |
852,37 litros |
0,00% |
100,00% |
0,00% |
|
PTM de Três Lagoas |
0,00 litros |
36,62 litros |
58,62 litros |
95,24 litros |
0,00% |
38,45% |
61,55% |
|
Nacional |
25.053,46 litros |
71.700,16 litros |
128.464,96 litros |
225.218,58 litros |
11,12% |
31,84% |
57,04% |
Gestão de resíduos sólidos
A pesquisa apurou que 9,91% (12 de 121) das Unidades Administrativas já implementaram a gravimetria de resíduos sólidos recicláveis. Ressalta-se que o índice apurado em 2024 de 44% referia-se às regiões administrativas e por essa razão não é possível realizar a variação anual.
Os resultados da pesquisa demonstraram que o percentual de unidades com coleta seletiva solidária implementada ainda demanda ampliação, os outros indicadores demonstram também pontos de melhoria.
A gravimetria dos resíduos ainda é adotada por parcela reduzida das unidades.
Indicador de acompanhamento 1: Percentual de Unidades que fazem a gravimetria.
Indicador de acompanhamento 2: Quantidade, em Kg, de resíduo sólido reciclável descartável doado.
Indicador de acompanhamento 3: Quantidade, em Kg, de bens inservíveis (desfazimento) doados – Este indicador não pode ser monitorado, recomenda-se que faça parte da 1ª revisão do PLS MPT 2025/2030.
Indicador de acompanhamento 4: Quantidade, em Kg, de borra de café destinada ou utilizada.
Quanto ao Indicador de acompanhamento 2: Quantidade, em Kg, de resíduo sólido reciclável descartável doado, os resultados registram que foram pesadas e doadas cerca de 70 toneladas em todo MPT, no ano de 2025.
A pesquisa apurou que, quanto ao indicador de acompanhamento 4: Percentual de unidades que destinam borra de café a associações de agricultura familiar e/ou promove seu reaproveitamento em áreas verdes de condomínios em que a UA integre ou em sede(s) própria(s) e/ou compartilhadas, foi de 4,13% das UA's iniciaram a implementação desta iniciativa no ano de 2025.
|
Unidade administrativa |
Indicador de acompanhamento. Quantidade, em Kg, de resíduo sólido reciclável doado |
Indicador de acompanhamento. Percentual de Unidades que fazem a gravimetria |
Indicador de acompanhamento. Percentual de unidades que destinam borra de café a associações de agricultura familiar e/ou promove seu reaproveitamento em áreas verdes de condomínios em que a UA integre ou em sede(s) própria(s) e/ou compartilhadas. |
|
PGT |
0,00 kg |
1 |
1 |
|
PRT da 1ª REGIÃO |
17.894,80 kg |
1 |
1 |
|
PTM de Cabo Frio |
0,00 kg |
0 |
0 |
|
PTM de Campos dos Goytacazes |
0,00 kg |
0 |
0 |
|
PTM de Itaguaí |
0,00 kg |
0 |
0 |
|
PTM de Niterói |
0,00 kg |
0 |
0 |
|
PTM de Nova Friburgo |
0,00 kg |
0 |
0 |
|
PTM de Nova Iguaçu |
0,00 kg |
0 |
0 |
|
PTM de Petrópolis |
0,00 kg |
0 |
0 |
|
PTM de Volta Redonda |
0,00 kg |
0 |
0 |
|
PRT da 2ª REGIÃO |
2.692,00 kg |
1 |
0 |
|
PTM de Barueri |
0,00 kg |
0 |
0 |
|
PTM de Guarulhos |
0,00 kg |
0 |
0 |
|
PTM de Mogi das Cruzes |
0,00 kg |
0 |
0 |
|
PTM de Santos |
0,00 kg |
0 |
0 |
|
PTM de São Bernardo do Campo |
0,00 kg |
0 |
0 |
|
PRT da 3ª REGIÃO |
10.540,00 kg |
1 |
0 |
|
PTM de Coronel Fabriciano |
0,00 kg |
0 |
0 |
|
PTM de Divinópolis |
0,00 kg |
0 |
0 |
|
PTM de Governador Valadares |
0,00 kg |
0 |
0 |
|
PTM de Juiz de Fora |
0,00 kg |
0 |
0 |
|
PTM de Montes Claros |
0,00 kg |
0 |
0 |
|
PTM de Patos de Minas |
0,00 kg |
0 |
0 |
|
PTM de Pouso Alegre |
0,00 kg |
0 |
0 |
|
PTM de Teófilo Otoni |
0,00 kg |
0 |
0 |
|
PTM de Uberlândia |
0,00 kg |
0 |
0 |
|
PTM de Varginha |
0,00 kg |
0 |
0 |
|
PRT da 4ª REGIÃO |
0,00 kg |
0 |
0 |
|
PTM de Caxias do Sul |
0,00 kg |
0 |
0 |
|
PTM de Novo Hamburgo |
0,00 kg |
0 |
0 |
|
PTM de Passo Fundo |
0,00 kg |
0 |
0 |
|
PTM de Pelotas |
0,00 kg |
0 |
0 |
|
PTM de Santa Cruz do Sul |
0,00 kg |
0 |
0 |
|
PTM de Santa Maria |
0,00 kg |
0 |
0 |
|
PTM de Santo Ângelo |
0,00 kg |
0 |
0 |
|
PTM de Uruguaiana |
0,00 kg |
0 |
1 |
|
PRT da 5ª REGIÃO |
0,00 kg |
0 |
0 |
|
PTM de Barreiras |
0,00 kg |
0 |
0 |
|
PTM de Eunápolis |
0,00 kg |
0 |
0 |
|
PTM de Feira de Santana |
0,00 kg |
0 |
0 |
|
PTM de Itabuna |
0,00 kg |
0 |
0 |
|
PTM de Juazeiro |
0,00 kg |
0 |
0 |
|
PTM de Santo Antônio de Jesus |
0,00 kg |
0 |
0 |
|
PTM de Vitória da Conquista |
0,00 kg |
0 |
0 |
|
PRT da 6ª REGIÃO |
0,00 kg |
0 |
0 |
|
PTM de Caruaru |
0,00 kg |
0 |
0 |
|
PTM de Petrolina |
0,00 kg |
0 |
0 |
|
PRT da 7ª REGIÃO |
0,00 kg |
0 |
0 |
|
PTM de Juazeiro do Norte |
0,00 kg |
0 |
0 |
|
PTM de Limoeiro do Norte |
0,00 kg |
0 |
0 |
|
PTM de Sobral |
0,00 kg |
0 |
0 |
|
PRT da 8ª REGIÃO |
0,00 kg |
0 |
0 |
|
PTM de Macapá |
0,00 kg |
0 |
0 |
|
PTM de Marabá |
0,00 kg |
0 |
0 |
|
PTM de Santarém |
0,00 kg |
0 |
0 |
|
PRT da 9ª REGIÃO |
0,00 kg |
0 |
0 |
|
PTM de Campo Mourão |
0,00 kg |
0 |
0 |
|
PTM de Guarapuava |
0,00 kg |
0 |
0 |
|
PTM de Londrina |
0,00 kg |
0 |
0 |
|
PTM de Maringá |
0,00 kg |
0 |
0 |
|
PTM de Pato Branco |
0,00 kg |
0 |
0 |
|
PTM de Umuarama |
0,00 kg |
0 |
0 |
|
PTM de do Cascavel |
0,00 kg |
0 |
0 |
|
PTM de do Foz do Iguaçu |
0,00 kg |
0 |
0 |
|
PTM de Ponta Grossa |
0,00 kg |
0 |
0 |
|
PRT da 10ª REGIÃO |
0,00 kg |
0 |
0 |
|
PTM de Araguaína |
0,00 kg |
0 |
1 |
|
PTM de Palmas e Gurupi |
0,00 kg |
0 |
0 |
|
PRT da 11ª REGIÃO |
0,00 kg |
1 |
0 |
|
PTM de Boa Vista |
0,00 kg |
0 |
0 |
|
PRT da 12ª REGIÃO |
1.614,00 kg |
1 |
0 |
|
PTM de Blumenau |
0,00 kg |
0 |
0 |
|
PTM de Chapecó |
0,00 kg |
0 |
0 |
|
PTM de Criciúma |
0,00 kg |
0 |
0 |
|
PTM de Joaçaba |
0,00 kg |
0 |
0 |
|
PTM de Joinville |
0,00 kg |
0 |
0 |
|
PTM de Lages |
0,00 kg |
0 |
0 |
|
PRT da 13ª REGIÃO |
1.006,00 kg |
1 |
0 |
|
PTM de Campina Grande |
0,00 kg |
0 |
0 |
|
PTM de Posto Avançado em Patos |
0,00 kg |
0 |
0 |
|
PRT da 14ª REGIÃO |
0,00 kg |
0 |
0 |
|
PTM de Ji-Paraná |
0,00 kg |
0 |
0 |
|
PTM de Rio Branco |
0,00 kg |
0 |
0 |
|
PRT da 15ª REGIÃO |
0,00 kg |
0 |
0 |
|
PTM de Araçatuba |
0,00 kg |
0 |
0 |
|
PTM de Araraquara |
0,00 kg |
1 |
0 |
|
PTM de Bauru |
20,20 kg |
1 |
1 |
|
PTM de Presidente Prudente |
96,39 kg |
1 |
0 |
|
PTM de Ribeirão Preto |
0,00 kg |
0 |
0 |
|
PTM de São José do Rio Preto |
66,30 kg |
1 |
0 |
|
PTM de São José dos Campos |
0,00 kg |
0 |
0 |
|
PTM de Sorocaba |
0,00 kg |
0 |
0 |
|
PRT da 16ª REGIÃO |
0,00 kg |
0 |
0 |
|
PTM de Bacabal |
0,00 kg |
0 |
0 |
|
PTM de Imperatriz |
0,00 kg |
0 |
0 |
|
PTM de Timon |
0,00 kg |
0 |
0 |
|
PRT da 17ª REGIÃO |
0,00 kg |
0 |
0 |
|
PTM de Cachoeiro de Itapemirim |
0,00 kg |
0 |
0 |
|
PTM de Colatina |
0,00 kg |
0 |
0 |
|
PTM de São Mateus |
0,00 kg |
0 |
0 |
|
PRT da 18ª REGIÃO |
581,00 kg |
1 |
0 |
|
PTM de Anápolis |
0,00 kg |
0 |
0 |
|
PTM de Luziânia |
0,00 kg |
0 |
0 |
|
PTM de Rio Verde |
0,00 kg |
0 |
0 |
|
PRT da 19ª REGIÃO |
0,00 kg |
0 |
0 |
|
PTM de Arapiraca |
0,00 kg |
0 |
0 |
|
PRT da 20ª REGIÃO |
0,00 kg |
0 |
0 |
|
PTM de Itabaiana |
0,00 kg |
0 |
0 |
|
PRT da 21ª REGIÃO |
0,00 kg |
0 |
0 |
|
PTM de Caicó |
0,00 kg |
0 |
0 |
|
PTM de Mossoró |
0,00 kg |
0 |
0 |
|
PRT da 22ª REGIÃO |
0,00 kg |
0 |
0 |
|
PTM de Bom Jesus |
0,00 kg |
0 |
0 |
|
PTM de Picos |
0,00 kg |
0 |
0 |
|
PRT da 23ª REGIÃO |
0,00 kg |
0 |
0 |
|
PTM de Alta Floresta |
0,00 kg |
0 |
0 |
|
PTM de Rondonópolis |
0,00 kg |
0 |
0 |
|
PTM de Sinop |
0,00 kg |
0 |
0 |
|
PRT da 24ª REGIÃO |
0,00 kg |
0 |
0 |
|
PTM de Dourados |
0,00 kg |
0 |
0 |
|
PTM de Três Lagoas |
0,00 kg |
0 |
0 |
|
Nacional |
34.510,69 kg |
12 |
5 |
Licitações e contratações sustentáveis
A pesquisa apurou que a maior parte das licitações realizadas em 2025 atendeu aos critérios de sustentabilidade, foram realizadas 323 licitações no Órgão, e que 297 destas, utilizaram-se de cláusulas sustentáveis, perfazendo 91,95% de licitações sustentáveis. Assim, a meta anual, conforme trajetória da meta, foi cumprida.
|
Trajetória da meta – Percentual de aumento por ano em relação a 2024 |
||||||
|
Ano |
2025 |
2026 |
2027 |
2028 |
2029 |
2030 |
|
Meta |
80% |
85% |
90% |
95% |
98% |
100% |



















